

Hãy luôn nhớ cảm ơn và vote 5*
nếu câu trả lời hữu ích nhé!
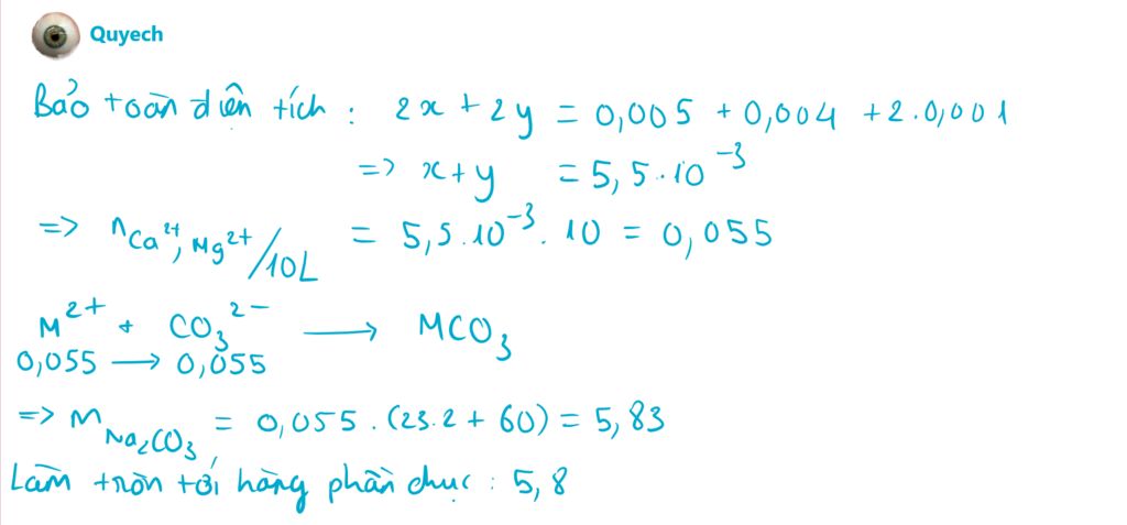
Đáp án:
Giải thích các bước giải:
Áp dụng định luật bảo toàn điện tích :
$2x + 2y = 0,005 \cdot 1 + 0,004 \cdot 1 + 0,001 \cdot 2$
$\Leftrightarrow 2(x + y) = 0,011$
$\Leftrightarrow x + y = 0,0055 \text{ (mol/L)}$
$n_{Ca^{2+}} + n_{Mg^{2+}} = 10 \cdot (x + y) = 10 \cdot 0,0055 = 0,055 \text{ (mol)}$
PT ion:
$Ca^{2+} + CO_3^{2-} \rightarrow CaCO_3 \downarrow$
$Mg^{2+} + CO_3^{2-} \rightarrow MgCO_3 \downarrow$
$\Rightarrow n_{Na_2CO_3} = n_{CO_3^{2-}} = n_{Ca^{2+}} + n_{Mg^{2+}} = 0,055 \text{ (mol)}$
$m_{Na_2CO_3} = 0,055 \cdot 106 = 5,83 \text{ (g)} \approx 5,8 \text{ (g)}$
Hãy giúp mọi người biết câu trả lời này thế nào?

Bảng tin