

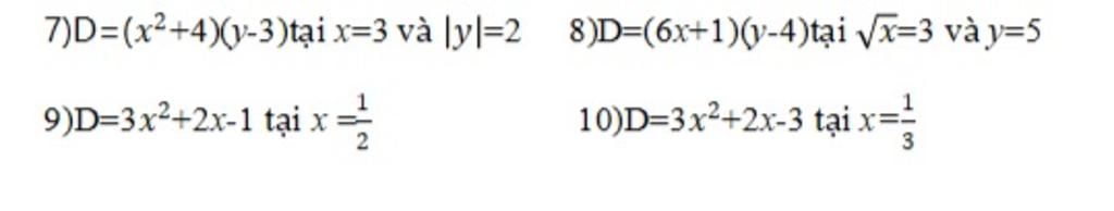
tìm giá trị của các biểu thức sau
Hãy luôn nhớ cảm ơn và vote 5*
nếu câu trả lời hữu ích nhé!
Đáp án:
Giải thích các bước giải:
`7)`
Ta có `|y| = 2 => y = +-2`
Tại `x = 3 ; y =2` ta có:
`D= (3^2 + 4)(2 - 3)`
`D = (9+ 4)(-1)`
`D=13 (-1)`
`D=-13`
Tại `x = 3 ;y=-2` ta có:
`D = (3^2 +4)(-2-3)`
`D=(9+4)(-5)`
`D = 13(-5)`
`D = -65`
`8)`
Ta cps: `sqrt x = 3`
`=> x = 9`
Tại `x = 9 ; y = 5` ta có:
`D = (6 . 9 + 1)(5 - 4)`
`D = (54 + 1).1`
`D= 55 . 1`
`D = 55`
`9)`
Tại `x = 1/2` ta có:
`D = 3 . (1/2)^2 + 2 . 1/2 - 1`
`D = 3 . 1/4 + 1 - 1`
`D = 3/4`
`10)`
Tại `x = 1/3` ta có:
`D= 3 . (1/3)^2 + 2 . 1/3 - 3`
`D = 3 . 1/9 + 2/3 - 3`
`D = 1/3 + 2/3 - 3`
`D = 1 - 3`
`D = -2`
Hãy giúp mọi người biết câu trả lời này thế nào?

9) D = 3x² + 2x - 1 tại x =$\frac{1}{2}$
Thay x = $\frac{1}{2}$ vào biểu thức D, ta được:
D = 3. ($\frac{1}{2}$ )² + 2.$\frac{1}{2}$ - 1
D = 3. $\frac{1}{4}$ + 1 - 1
D = $\frac{3}{4}$
10) D = 3x² + 2x - 3 tại x = $\frac{1}{3}$
Thay x =$\frac{1}{3}$ vào biểu thức D, ta được:
D = 3. ($\frac{1}{3}$ )² + 2.$\frac{1}{3}$ - 3
D = 3.$\frac{1}{9}$ + $\frac{2}{3}$ - 3
D = $\frac{1}{3}$ + $\frac{2}{3}$ - 3
D = - 2
Hãy giúp mọi người biết câu trả lời này thế nào?

Bảng tin