

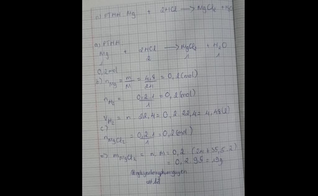
Cho 4,8g magnéium tac dụng vói HCl tạo ra muối và nước
a, viết pthh
b, tính khí hh2sinh ra trong đktc
c, tinh kl muói ttảoa
Hãy luôn nhớ cảm ơn và vote 5*
nếu câu trả lời hữu ích nhé!
`a,`
PTHH: `Mg + 2HCl -> MgCl_2 + H_2`$\uparrow$
`b,`
`-` `n_(Mg) = m/M = (4,8)/24 = 0,2` mol
Theo PT: `n_(H_2) = n_(Mg) = 0,2` mol
`=>` `V_(H_2text{ đktc}) = n * 22,4 = 0,2 * 22,4 = 4,48L`
`c,`
Theo PT: `n_(MgCl_2) = n_(Mg) = 0,2` mol
`=>` `m_(MgCl_2) = n * M = 0,2 * 95 = 19g`
Hãy giúp mọi người biết câu trả lời này thế nào?
![]()
Bảng tin
0
149
0
cảm ơn b ạ