

Hãy luôn nhớ cảm ơn và vote 5*
nếu câu trả lời hữu ích nhé!
Đáp án:
Giải thích các bước giải:
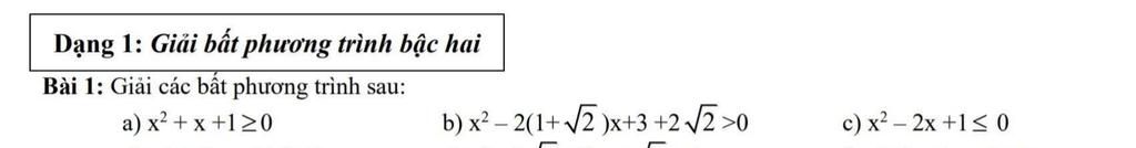
a) $x^2 + x + 1 \ge 0$
$f(x) = x^2 + x + 1$ có:
$\begin{cases} a = 1 > 0 \\ \Delta = 1^2 - 4 \cdot 1 \cdot 1 = -3 < 0 \end{cases}$
$\Rightarrow f(x) > 0$ với mọi $x \in \mathbb{R}$
Vậy tập nghiệm $S = \mathbb{R}$
b) $x^2 - 2(1 + \sqrt{2})x + 3 + 2\sqrt{2} > 0$
Xét $f(x)$ có:
$\begin{cases} a = 1 > 0 \\ \Delta' = (1 + \sqrt{2})^2 - (3 + 2\sqrt{2}) = 0 \end{cases}$
$\Rightarrow f(x) = [x - (1 + \sqrt{2})]^2 \ge 0$ với mọi $x \in \mathbb{R}$.
$f(x) > 0 \Leftrightarrow x - (1 + \sqrt{2}) \ne 0 \Leftrightarrow x \ne 1 + \sqrt{2}$.
Vậy tập nghiệm $S = \mathbb{R} \setminus \{1 + \sqrt{2}\}$
c) $x^2 - 2x + 1 \le 0$
$\Leftrightarrow (x - 1)^2 \le 0$
Mà $(x - 1)^2 \ge 0$ với mọi $x \in \mathbb{R}$
$\Rightarrow (x - 1)^2 = 0 \Leftrightarrow x = 1$
Vậy tập nghiệm $S = \{1\}$
Hãy giúp mọi người biết câu trả lời này thế nào?
Bảng tin
9
286
5
a ơi
3158
41673
5249
??
9
286
5
giải giúp câu này dc k
9
286
5
8296296