

Cho biểu thức:
a, Rút gọn biểu thức P
b, Tìm giá trị để x để P =1
c, Tính P khi x=3+2$\sqrt{2}$
d, Tìm giá trị x để P có giá trị nguyên.
Hãy luôn nhớ cảm ơn và vote 5*
nếu câu trả lời hữu ích nhé!
Đáp án + Giải thích các bước giải:
$\textbf{a}\bigg)$
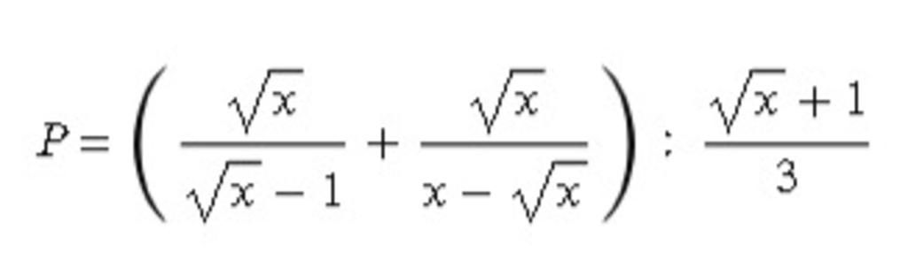
$\textbf{P} = \left(\dfrac{\sqrt{x}}{\sqrt{x} - 1} + \dfrac{\sqrt{x}}{x - \sqrt{x}}\right) : \dfrac{\sqrt{x} + 1}{3}(x > 0; x \ne 1)$
$\phantom{\textbf{P}} = \left(\dfrac{\sqrt{x}}{\sqrt{x} - 1} + \dfrac{\sqrt{x}}{\sqrt{x}\left(\sqrt{x} - 1\right)}\right) \cdot \dfrac{3}{\sqrt{x} + 1}$
$\phantom{\textbf{P}} = \left(\dfrac{\sqrt{x}}{\sqrt{x} - 1} + \dfrac{1}{\sqrt{x} - 1}\right) \cdot \dfrac{3}{\sqrt{x} + 1}$
$\phantom{\textbf{P}} = \dfrac{\sqrt{x} + 1}{\sqrt{x} - 1} \cdot \dfrac{3}{\sqrt{x} + 1}$
$\phantom{\textbf{P}} = \cdot \dfrac{3}{\sqrt{x} - 1}$
$\textbf{b}\bigg)$
Thay $\textbf{P} = 1$, ta có:
$\dfrac{3}{\sqrt{x} - 1} = 1$
$\sqrt{x} - 1 = 3$
$\sqrt{x} = 4$
$x = 16$
Vây với $x = 16$ thì $\textbf{P} = 1$
$\textbf{c}\bigg)$
Ta có: $x = 3 + 2\sqrt{2} = 2 + 1 + 2\sqrt{2} = \left(\sqrt{2} + 1\right)^2$
Suy ra $\sqrt{x} = \sqrt{\left(\sqrt{2} + 1\right)^2} = |\sqrt{2} + 1| = \sqrt{2} + 1$
Thay $\sqrt{x}= \sqrt{2} + 1$ vào $\textbf{P}$, ta có:
$\textbf{P} = \dfrac{3}{\sqrt{2} + 1 - 1} = \dfrac{3\sqrt{2}}{2}$
Vậy với $x = 3 + 2\sqrt{2}$ thì $\textbf{P} = \dfrac{3\sqrt{2}}{2}$
$\textbf{d}\bigg)$
Để $\textbf{P} = \dfrac{3}{\sqrt{x} - 1}$ có giá trị nguyên thì $\sqrt{x} - 1 = \dfrac{3}{k}$ với $k$ nguyên
Suy ra $\sqrt{x} = \dfrac{3}{k} + 1$
Do $x > 0, x \ne 1$ nên $\sqrt{x} > 0$ và $\sqrt{x} \ne 1$, hay $k > 0$ hoặc $k < -3$
$x = \left(\dfrac{3}{k} +1\right)^2 = \dfrac{9}{k^2} + \dfrac{6}{k} + 1$
Vậy với $x = \dfrac{9}{k^2} + \dfrac{6}{k} + 1$ với $k$ nguyên thì $\textbf{P}$ nguyên
Hãy giúp mọi người biết câu trả lời này thế nào?
ĐKXĐ: `x > 0 , x ne 1`
`a)`
`P = ( (sqrt[x])/(sqrt[x] - 1) + (sqrt[x]/(x- sqrt[x]) ) : (sqrt[x] + 1)/3`
`P = [ (sqrt[x])/(sqrt[x] - 1) + (sqrt[x]/(sqrt[x].(sqrt[x] - 1)) ] : (sqrt[x] + 1)/3`
`P = [ (sqrt[x] sqrt[x])/(sqrt[x] (sqrt[x] - 1)) + (sqrt[x]/(sqrt[x].(sqrt[x] - 1)) ] : (sqrt[x] + 1)/3`
`P = (x + sqrt[x])/(sqrt[x] (sqrt[x] - 1)) . 3/(sqrt[x] + 1)`
`P = (sqrt[x] (sqrt[x] + 1))/(sqrt[x] (sqrt[x] - 1)) . 3/(sqrt[x] + 1)`
`P = 3/(sqrt[x] - 1)`
`b)`
Ta có: `P=1` hay `3/(sqrt[x] -1) = 1`
`sqrt[x] - 1 = 3`
`sqrt[x] = 4 = sqrt[16]`
`x = 16` (TM)
Vậy `x = 16` thì `P=1`
`c,`
Thay `x = 3+2 sqrt[2]` vào `P` ta được:
`P= 3/(sqrt[3+2sqrt[2]] -1) = 3/(sqrt[(sqrt[2] + 1)^2] -1)`
`= 3/(sqrt[2] +1-1) = 3/(sqrt[2]) = (3.sqrt[2])/((sqrt[2])^2)`
`= (3sqrt[2])/2`
Vậy `P = (3sqrt[2])/2` khi `x = 3+2sqrt[2]`
`d,`
Để `P` có giá trị nguyên, nghĩa là `P in ZZ`, thì `3/(sqrt[x] - 1)` phải là một số nguyên.
`=>` `sqrt[x] -1 in Ư(3) = {±1,±3}`
`=>` `x in {4;0;16}`
Mà `x > 0, x ne1` nên `x in {4,16}`
Vậy `x in {4,16}` thì `P` có giá trị nguyên
Hãy giúp mọi người biết câu trả lời này thế nào?
Bảng tin