

Hãy luôn nhớ cảm ơn và vote 5*
nếu câu trả lời hữu ích nhé!

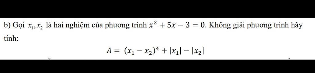
Giải thích các bước giải:
Vì $x_1, x_2$ là hai nghiệm của phương trình
$\to \begin{cases}x_1+x_2=-5\\x_1x_2=-3\end{cases}$
Do $x_1x_2<0$
$\to x_1, x_2$ trái dấu
Trường hợp 1: $x_1<0<x_2$
$\to A=(x_1-x_2)^4-x_1-x_2$
$\to A=((x_1+x_2)^2-4x_1x_2)^2-(x_1+x_2)$
$\to A=((-5)^2-4\cdot (-3))^2-(-5)$
$\to A=1374$
Trường hợp 2: $x_2<0<x_1$
$\to A=(x_1-x_2)^4+x_1+x_2$
$\to A=((x_1+x_2)^2-4x_1x_2)^2+(x_1+x_2)$
$\to A=((-5)^2-4\cdot (-3))^2+(-5)$
$\to A=1364$
Hãy giúp mọi người biết câu trả lời này thế nào?
Bảng tin