

Hãy luôn nhớ cảm ơn và vote 5*
nếu câu trả lời hữu ích nhé!
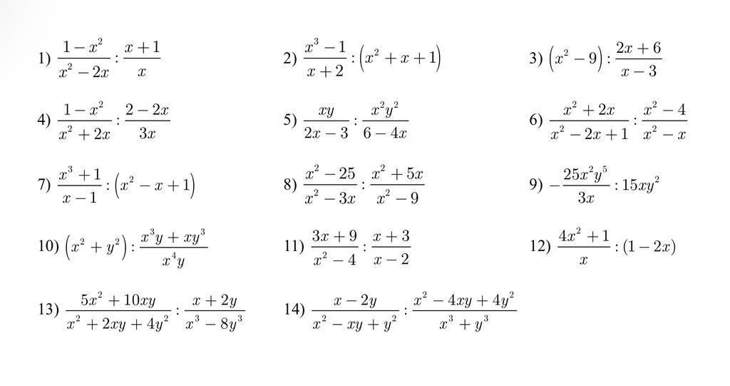
`13) \frac{5x^2 + 10xy}{x^2 + 2xy + 4y^2} : \frac{x + 2y}{x^3 - 8y^3}`
`= \frac{5x(x + 2y)}{x^2 + 2xy + 4y^2} \cdot \frac{x^3 - (2y)^3}{x + 2y}`
`= \frac{5x(x + 2y)}{x^2 + 2xy + 4y^2} \cdot \frac{(x - 2y)(x^2 + 2xy + 4y^2)}{x + 2y}`
`= 5x(x - 2y)`
`= 5x^2 - 10xy`
`14) \frac{x - 2y}{x^2 - xy + y^2} : \frac{x^2 - 4xy + 4y^2}{x^3 + y^3}`
`= \frac{x - 2y}{x^2 - xy + y^2} \cdot \frac{x^3 + y^3}{x^2 - 4xy + 4y^2}`
`= \frac{x - 2y}{x^2 - xy + y^2} \cdot \frac{(x + y)(x^2 - xy + y^2)}{(x - 2y)^2}`
`= \frac{x + y}{x - 2y}`
Hãy giúp mọi người biết câu trả lời này thế nào?

Đáp án:
Giải thích các bước giải:
6)
$\dfrac{x^2+2x}{x^2-2x+1} : \dfrac{x^2-4}{x^2-x}$
$= \dfrac{x(x+2)}{(x-1)^2} \cdot \dfrac{x(x-1)}{(x-2)(x+2)}$
$= \dfrac{x^2(x+2)(x-1)}{(x-1)^2(x-2)(x+2)}$
$= \dfrac{x^2}{(x-1)(x-2)}$
14)
$\dfrac{x-2y}{x^2-xy+y^2} : \dfrac{x^2-4xy+4y^2}{x^3+y^3}$
$= \dfrac{x-2y}{x^2-xy+y^2} \cdot \dfrac{(x+y)(x^2-xy+y^2)}{(x-2y)^2}$
$= \dfrac{(x-2y)(x+y)(x^2-xy+y^2)}{(x^2-xy+y^2)(x-2y)^2}$
$= \dfrac{x+y}{x-2y}$
Hãy giúp mọi người biết câu trả lời này thế nào?

Bảng tin
110
2529
97
Hi
860
9819
1418
xicha