

nhanh giúp e v đang cần gấp
Hãy luôn nhớ cảm ơn và vote 5*
nếu câu trả lời hữu ích nhé!
`cccolor{#8FBC8F}{~} cccolor{#C1FFC1}{b} cccolor{#B4EEB4}{u} cccolor{#9BCD9B}{i} cccolor{#698B69}{g} cccolor{#2E8B57}{i} cccolor{#54FF9F}{a} cccolor{#4EEE94}{p} cccolor{#43CD80}{h} cccolor{#98FB98}{o} cccolor{#008B45}{n} cccolor{#00FF00}{g} cccolor{#00EE00}{9} cccolor{#00CD00}{9} cccolor{#ADFF2F}{9} cccolor{#228B22}{~}`
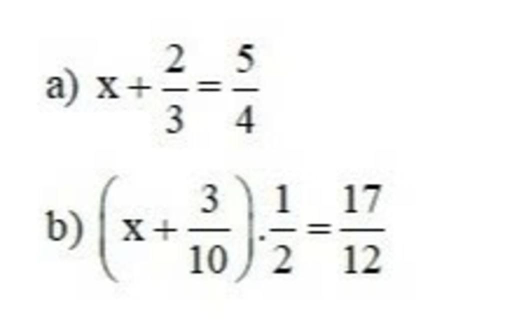
`a) x+2/3=5/4`
`x=5/4-2/3`
`x=(5.3)/(4.3)-(2.4)/(3.4)`
`x=15/12-8/12`
`x=(15-8)/12`
`x=7/12`
Vậy `x=7/12`
`b) (x+3/10) . 1/2 = 17/12`
`x+3/10=17/12 : 1/2`
`x+3/10=17/12 . 2`
`x+3/10=(17.2)/12`
`x+3/10=34/12`
`x+3/10=(34:2)/(12:2)`
`x+3/10=17/6`
`x=17/6-3/10`
`x=(17.5)/(6.5)-(3.3)/(3.10)`
`x=85/30-9/30`
`x=(85-9)/30`
`x=76/30`
`x=(76:2)/(30:2)`
`x=38/15`
Vậy `x=38/15`
$\color{#29B6F6}{\heartsuit Phuongg \ Li nhh \heartsuit}$
Hãy giúp mọi người biết câu trả lời này thế nào?

Đáp án $+$ Giải thích các bước giải:
\(a)\) `x + 2/3 = 5/4`
`x = 5/4 - 2/3`
`x = 7/12`
Vậy \(x = \dfrac{7}{12}\)
\(b)\) `(x + 3/10) * 1/2 = 17/12`
`x + 3/10 = 17/12 : 1/2`
`x + 3/10 = 17/6`
`x = 17/6 - 3/10`
`x = 38/15`
Vậy `x = 38/15`
Hãy giúp mọi người biết câu trả lời này thế nào?

Bảng tin
5924
29086
4742
:>
110
2544
97
A bt cái bn loan40201 dko
110
2544
97
Alo
5924
29086
4742
.-.
110
2544
97
A bt bn loan40201 dko
5924
29086
4742
om
110
2544
97
E là cái bn đó á
110
2544
97
H e đăng dko