Vui lòng chỉ chọn một câu hỏi
Hoidap247.com Nhanh chóng, chính xác
+
Danh mục mới
8
568
1
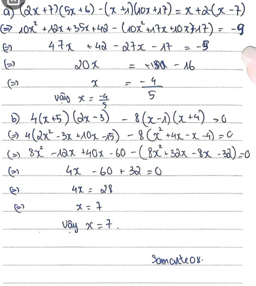
a, (2x+7)(5x+6) − (x+1)(10x+17) = (x+2)−(x−7)b, 4(x+5)(2x−3) − 8(x−1)(x+4) = 0CHÚNG MÀI OIII CỨU !!!
lưu ý là làm xong chụp gửi nhé
o.o
hihi
Hãy luôn nhớ cảm ơn và vote 5* nếu câu trả lời hữu ích nhé!
133
248
147
Đáp án + Giải thích các bước giải:
Hãy giúp mọi người biết câu trả lời này thế nào?
1361
12893
1571
Đáp án:
Giải thích các bước giải:
=))
b thấy ảnh 2 ổn chưa b
còn nếu mún đổi tên hay gì lưu về cắt đi nhớ
/\......./\ ( o . o ) ( ^ )
T o T
KỆ
Bảng tin
Gửi yêu cầu Hủy