

Ba số a + $log_{2}3$ ; a+ $log_{4}3$ ; a + $log_{8}3$ theo thứ tự lập thành cấp số nhân. Công bội của cấp số nhân này bằng
A. 1/4
B. 1
C. 1/3
D. 1/2
Hãy luôn nhớ cảm ơn và vote 5*
nếu câu trả lời hữu ích nhé!
Đáp án: $\textbf{C}$
Giải thích các bước giải:
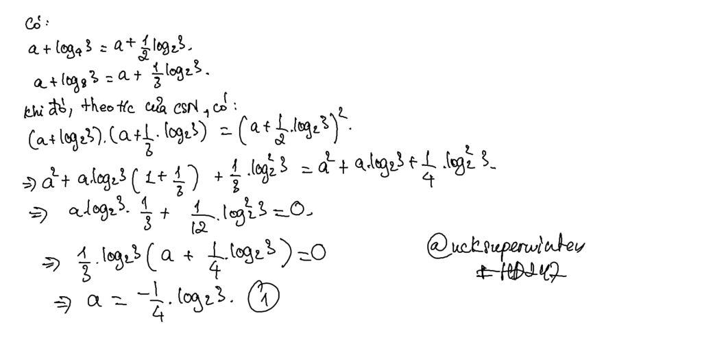
Do $a + \log_2 3; a + \log_4 3$ và $a + \log_8 3$ lập thành cấp số nhân nên ta có:
$\dfrac{a + \log_8 3}{a + \log_4 3} = \dfrac{a + \log_4 3}{a + \log_2 3} = q$
$\Leftrightarrow \left(a + \log_2 3\right)\left(a + \log 8_3\right) = \left(a + \log_4 3\right)^2$
$\Leftrightarrow \left(a + \log_2 3\right)\left(a + \dfrac{1}{3} \log_2 3\right) = \left(a + \dfrac{1}{2} \log_2 3\right)^2$
$\Leftrightarrow a^2 + \dfrac{4}{3}a \log_2 3 + \dfrac{1}{3}\log_2^2 3 = a^2 + a\log_2 3 + \dfrac{1}{4} \log_2^2 3$
$\Leftrightarrow \dfrac{4}{3}a \log_2 3 + \dfrac{1}{3}\log_2^2 3 = a\log_2 3 + \dfrac{1}{4} \log_2^2 3$
$\Leftrightarrow \dfrac{1}{3}a \log_2 3 + \dfrac{1}{12}\log_2^2 3 = 0$
$\Leftrightarrow a + \dfrac{1}{4}\log_2 3 = 0$
$\Leftrightarrow a = -\dfrac{1}{4} \log_2 3$
$\Rightarrow \begin {cases} a + \log_2 3 = \dfrac{3}{4} \log_2 3 \\ a + \log_4 3 = a + \dfrac{1}{2}\log_2 3 = \dfrac{1}{4} \log_2 3 \end {cases}$
$\Rightarrow q = \dfrac{a +\log_4 3}{a + \log_2 3} = \dfrac{\frac{1}{4} \log_2 3}{\frac{3}{4} \log_2 3} = \dfrac{1}{3}$
$\Rightarrow \textbf{C}$
Hãy giúp mọi người biết câu trả lời này thế nào?
Bảng tin