

Hãy luôn nhớ cảm ơn và vote 5*
nếu câu trả lời hữu ích nhé!
Đáp án + Giải thích các bước giải:
Dạng 1:
Bài 1:
a) `x^2 - 3x + 2 = 0`
Các hệ số : `a= 1; b=-3; c=2`
`\Delta` = `b^2 - 4ac` = ` (-3)^2 - 4.1.2` = `1 > 0`
Vậy pt có 2 nghiệm `x_{1} =``(-b + \sqrt{Delta})/(2a) = -(-3 + 1)/2.1 = 1`
`x_{2} = (-b - \sqrt{Delta})/(2a) = -(-3-1)/(2.1) = 2`
b) `-2x^2 + x + 1 = 0`
Các hệ số : `a = -2 ; b = 1 ; c = 1`
`\Delta = b^2 - 4ac = 1^2 - 4.(-2).1 = 9 > 0`
Vậy pt có 2 nghiệm `x_{1} = (-b + \sqrt{Delta})/(2a) = -(1 + 3)/(2.(-2)) = 1`
`x_{2} = (-b-\sqrt{Delta})/(2a) = -(1-3)/(2.(-2)) = -1/2`
c) `x^2 - 4x + 4 = 0`
Các hệ số: `a = 1; b = -4; c = 4`
`\Delta = b^2 - 4ac = (-4)^2 - 4.1.4 = 0`
Vậy pt có nghiệm kép: `x = (-b)/(2a) = -(-4)/(2.1) = 2`
d) `x^2 - x + 4 = 0`
Các hệ số: `a = 1; b = -1; c = 4`
`\Delta = b^2 - 4ac = (-1)^2 - 4.1.4 = -15 < 0`
Vậy pt vô nghiệm.
e) `x^2 + 2\sqrt{2}x + 2 = 0`
Các hệ số: `a = 1; b = 2\sqrt{2}; c = 2`
`Delta = b^2 -4ac = (2\sqrt{2})^2 - 4.1.2 = 0`
Vậy pt có nghiệm kép: ` x = (-b)/(2a) = -(2\sqrt{2})/(2.1) = -\sqrt{2}`
f) `-x^2 - \sqrt{5} x = 1` `<=> -x^2 - \sqrt{5}x -1 = 0 `
Các hệ số : `a = -1; b= -\sqrt{5}; c = -1`
`Delta = b^2 - 4ac = (-\sqrt{5})^2 - 4.(-1).(-1) = 1 > 0`
Vậy pt có 2 nghiệm: `x_{1} = (-\sqrt{5} - 1)/2`; `x_{2} = (-\sqrt{5} + 1)/2`
g) `x^2 + \sqrt{8}x = 2` `<=> x^2 + \sqrt{8}x - 2 = 0`
Các hệ số: `a = 1; b = \sqrt{8}; c = -2`
`Delta = b^2 - 4ac = (\sqrt{8})^2 - 4.1.(-2) = 16 > 0`
Vậy pt có 2 nghiệm: `x_{1} = 2 - \sqrt{2}`; `x_{2} = -2 - \sqrt{2}`
k) `x^2 - 2\sqrt{3}x +3 = 0`
Các hệ số: `a = 1; b = -2\sqrt{3}; c = 3`
`Delta = b^2 - 4ac = (-2\sqrt{3})^2 - 4.1.3 = 0`
Vậy pt có nghiệm kép: `x = (-b)/(2a) = (-(-2\sqrt{3}))/(2.1) = \sqrt{3}`
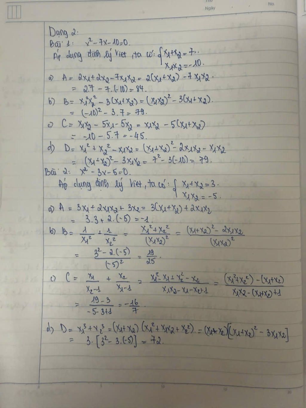
Dạng 2:
Bài 1:
`x^2 -7x-10 = 0`
Áp dụng định lí Viet, ta có: $\left \{ {{x_1 + x_2=7} \atop {x_1x_2=-10}} \right.$
a) `A = 2x_1 + 2x_2 - 7x_1x_2`
`= 2(x_1+x_2) - 7x_1x_2 = 2.7 - 7.(-10) = 84`
b) `B = x_1^2x_2^2 - 3(x_1 + x_2)`
`= (x_1x_2)^2 -3(x_1 + x_2) = (-10)^2 - 3.7 = 79`
c) `C = x_1x_2 - 5x_1 - 5x_2`
`= x_1x_2 - 5(x_1 + x_2) = -10 - 5.7 = -45`
d) `D = x_1^2 + x_2^2 - x_1x_2 `
` = (x_1 +x_2)^2 -3x_1x_2 = 7^2 - 3.(-10) = 79`
Bài 2:
`x^2 - 3x - 5 = 0`
Áp dụng định lí Viet, ta có: $\left \{ {{x_1 + x_2 =3} \atop {x_1x_2=-5}} \right.$
a) `A = 3x_1 + 2x_1x_2 +3x_2`
`= 3(x_1 + x_2) + 2x_1x_2 = 3.3 + 2.(-5) = -1`
b) `B = 1/x_1^2 + 1/x_2^2 = (x_1^2 +x_2^2)/(x_1.x_2)^2 = ((x_1 + x_2)^2 - 2x_1x_2)/(x_1x_2)^2 = (3^2 - 2.(-5))/(-5)^2 = 19/25`
c) `C = x_1/(x_2 - 1) + x_2/(x_1 -1) `
`C = (x_1(x_1 - 1) + x_2(x_2 - 1))/((x_2 - 1).(x_1 - 1))`
`C = (x_1^2 - x_1 + x_2^2 - x_2)/(x_1x_2 - x_2 -x_1 + 1)`
`C = ((x_1 + x_2)^2 - (x_1 + x_2) - 2x_1x_2)/(x_1x_2 - (x_1 + x_2) + 1) = (3^2 - 3 - 2.(-5))/(-5 - 3 + 1) = -16/7`
d) `D = x_1^3 + x_2^3 = (x_1 + x_2)(x_1^2 - x_1x_2 + x_2^2)`
`= (x_1 + x_2)[(x_1 + x_2)^2 - 3x_1x_2] = 3.[3^2 - 3(-5)] = 72`
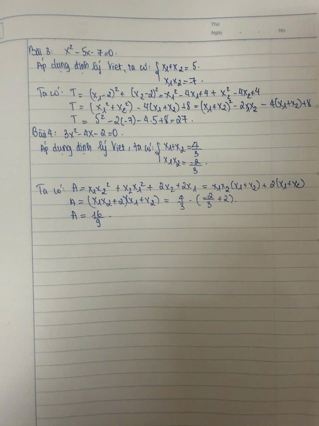
Bài 3:
`x^2 - 5x - 7 = 0`
Áp dụng định lí Viet, ta có: $\left \{ {{x_1 + x_2 =5} \atop {x_1x_2=-7}} \right.$
`T = (x_1 - 2)^2 + (x_2 - 2)^2`
`= x_1^2 -4x_1 +4 + x_2^2 - 4x_2 +4 `
` (x_1 +x_2)^2 -2x_1x_2 -4(x_1+x_2) +8 = 5^2 - 2(-7) -4.5 +8 = 27 `
Bài 4:
`3x^2 - 4x -2 = 0`
Áp dụng định lí Viet, ta có: `{(x_1 +x_1= 4/3),(x_1x_2 = -2/3):}`
`A = x_1x_2^2 + x_2(x_1^2 +2) + 2x_1`
` = x_1x_2^2 + x_2x_1^2 + 2x_2 + 2x_1`
` = x_1x_2(x_1 + x_2) + 2(x_1 + x_2)` `= -2/3`.`4/3 + 2`.`4/3` = `16/9`
Hãy giúp mọi người biết câu trả lời này thế nào?
Bảng tin
29
979
9
nếu hay cho mình câu trl hay nhất nhaa