

Sossssssssssssssssssssssssss
Hãy luôn nhớ cảm ơn và vote 5*
nếu câu trả lời hữu ích nhé!

Giải thích các bước giải:
$\begin{aligned}
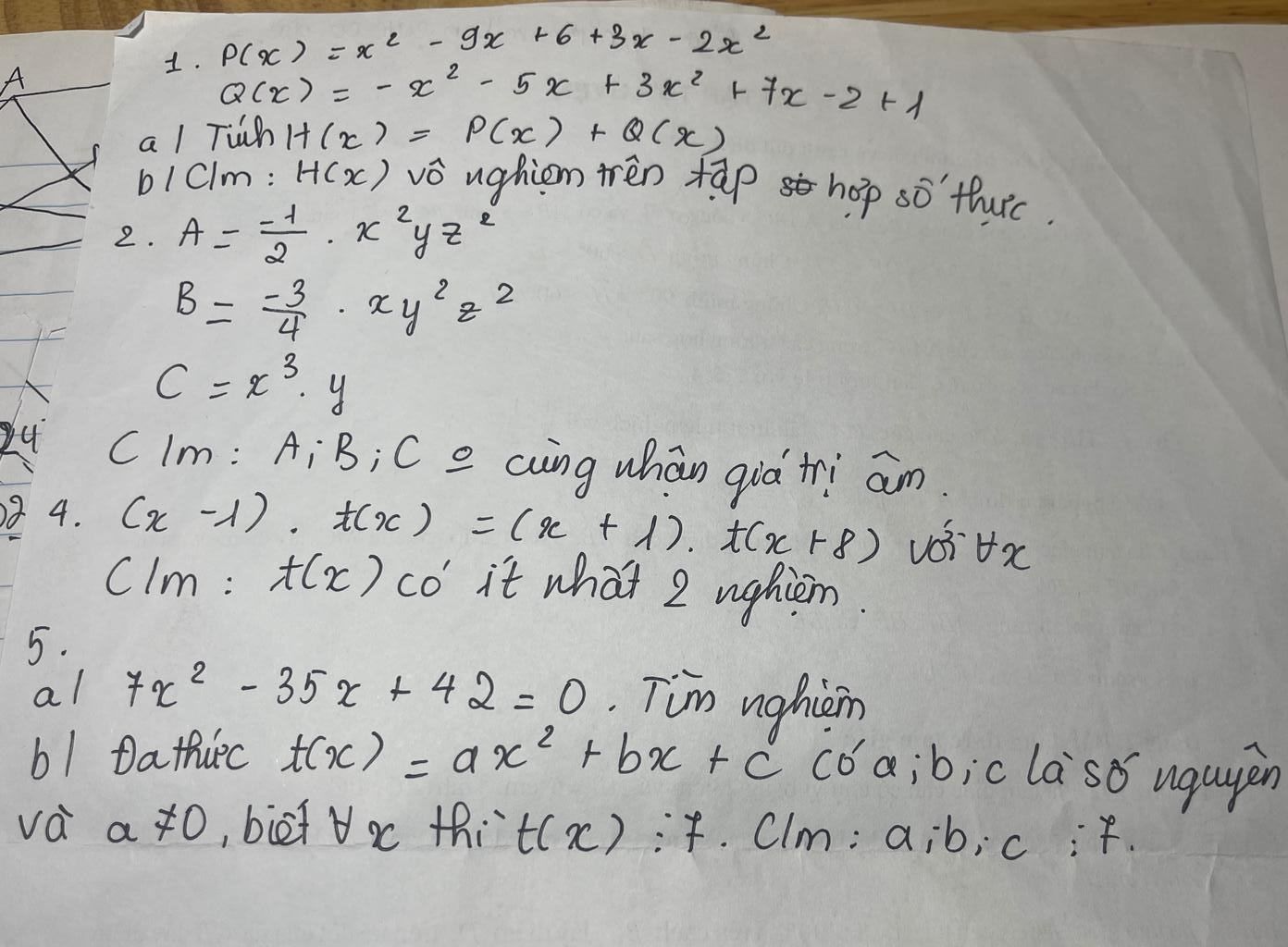
& \text{Bài 1.} \\
& \text{a) } P(x) = x^2 - 9x + 6 + 3x - 2x^2 = -x^2 - 6x + 6 \\
& \phantom{\text{a) }} Q(x) = -x^2 - 5x + 3x^2 + 7x - 2 + 1 = 2x^2 + 2x - 1 \\
& \phantom{\text{a) }} H(x) = P(x) + Q(x) \\
& \phantom{\text{a) }} H(x) = (-x^2 - 6x + 6) + (2x^2 + 2x - 1) \\
& \phantom{\text{a) }} H(x) = (-x^2 + 2x^2) + (-6x + 2x) + (6 - 1) \\
& \phantom{\text{a) }} H(x) = x^2 - 4x + 5 \\
& \text{b) } H(x) = x^2 - 2 \cdot x \cdot 2 + 4 + 1 \\
& \phantom{\text{b) }} H(x) = (x - 2)^2 + 1 \\
& \phantom{\text{b) }} \text{Ta có: } (x - 2)^2 \ge 0 \quad \forall x \in \mathbb{R} \\
& \phantom{\text{b) }} \Rightarrow (x - 2)^2 + 1 \ge 1 > 0 \\
& \phantom{\text{b) }} \Rightarrow H(x) \neq 0 \quad \forall x \in \mathbb{R} \\
& \phantom{\text{b) }} \Rightarrow H(x) \text{ vô nghiệm.} \\[15pt]
& \text{Bài 2.} \\
& A = \dfrac{-1}{2} x^2 y z^2; \quad B = \dfrac{-3}{4} x y^2 z^2; \quad C = x^3 y \\
& \text{Xét tích: } A \cdot B \cdot C = \left(\dfrac{-1}{2} x^2 y z^2\right) \cdot \left(\dfrac{-3}{4} x y^2 z^2\right) \cdot (x^3 y) \\
& \phantom{\text{Xét tích: } A \cdot B \cdot C} = \left[ \left(\dfrac{-1}{2}\right) \cdot \left(\dfrac{-3}{4}\right) \right] \cdot (x^2 \cdot x \cdot x^3) \cdot (y \cdot y^2 \cdot y) \cdot (z^2 \cdot z^2) \\
& \phantom{\text{Xét tích: } A \cdot B \cdot C} = \dfrac{3}{8} x^6 y^4 z^4 \\
& \text{Ta có: } x^6 \ge 0; \quad y^4 \ge 0; \quad z^4 \ge 0 \quad \forall x, y, z \\
& \Rightarrow \dfrac{3}{8} x^6 y^4 z^4 \ge 0 \\
& \Rightarrow A \cdot B \cdot C \ge 0 \\
& \text{Giả sử } A, B, C \text{ cùng âm } \Rightarrow A \cdot B \cdot C < 0 \text{ (Mâu thuẫn)} \\
& \Rightarrow A, B, C \text{ không thể cùng nhận giá trị âm.} \\[15pt]
& \text{Bài 4.} \\
& (x - 1) \cdot t(x) = (x + 1) \cdot t(x + 8) \quad (*) \\
& \text{Thay } x = 1 \text{ vào } (*): \\
& (1 - 1) \cdot t(1) = (1 + 1) \cdot t(1 + 8) \\
& \Rightarrow 0 \cdot t(1) = 2 \cdot t(9) \\
& \Rightarrow 0 = 2 \cdot t(9) \Rightarrow t(9) = 0 \\
& \Rightarrow x = 9 \text{ là một nghiệm của } t(x) \\
& \text{Thay } x = -1 \text{ vào } (*): \\
& (-1 - 1) \cdot t(-1) = (-1 + 1) \cdot t(-1 + 8) \\
& \Rightarrow -2 \cdot t(-1) = 0 \cdot t(7) \\
& \Rightarrow -2 \cdot t(-1) = 0 \Rightarrow t(-1) = 0 \\
& \Rightarrow x = -1 \text{ là một nghiệm của } t(x) \\
& \Rightarrow t(x) \text{ có ít nhất 2 nghiệm.} \\[15pt]
& \text{Bài 5.} \\
& \text{a) } 7x^2 - 35x + 42 = 0 \\
& \Leftrightarrow 7(x^2 - 5x + 6) = 0 \\
& \Leftrightarrow x^2 - 5x + 6 = 0 \\
& \Leftrightarrow x^2 - 2x - 3x + 6 = 0 \\
& \Leftrightarrow x(x - 2) - 3(x - 2) = 0 \\
& \Leftrightarrow (x - 2)(x - 3) = 0 \\
& \Leftrightarrow \left[ \begin{matrix} x - 2 = 0 \\ x - 3 = 0 \end{matrix} \right. \Leftrightarrow \left[ \begin{matrix} x = 2 \\ x = 3 \end{matrix} \right. \\
& \text{b) } t(x) = ax^2 + bx + c \vdots 7 \quad \forall x \in \mathbb{Z} \quad (a, b, c \in \mathbb{Z}) \\
& \text{Với } x = 0 \Rightarrow t(0) = a \cdot 0^2 + b \cdot 0 + c = c \vdots 7 \\
& \text{Với } x = 1 \Rightarrow t(1) = a + b + c \vdots 7 \\
& \text{Mà } c \vdots 7 \Rightarrow a + b \vdots 7 \quad (1) \\
& \text{Với } x = -1 \Rightarrow t(-1) = a - b + c \vdots 7 \\
& \text{Mà } c \vdots 7 \Rightarrow a - b \vdots 7 \quad (2) \\
& \text{Lấy (1) + (2): } (a + b) + (a - b) = 2a \vdots 7 \\
& \text{Vì } (2, 7) = 1 \Rightarrow a \vdots 7 \\
& \text{Thay vào (1): } a + b \vdots 7 \text{ mà } a \vdots 7 \Rightarrow b \vdots 7 \\
& \Rightarrow a, b, c \text{ đều chia hết cho 7.}
\end{aligned}$
Hãy giúp mọi người biết câu trả lời này thế nào?
Bảng tin