

Hãy luôn nhớ cảm ơn và vote 5*
nếu câu trả lời hữu ích nhé!
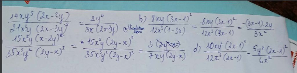
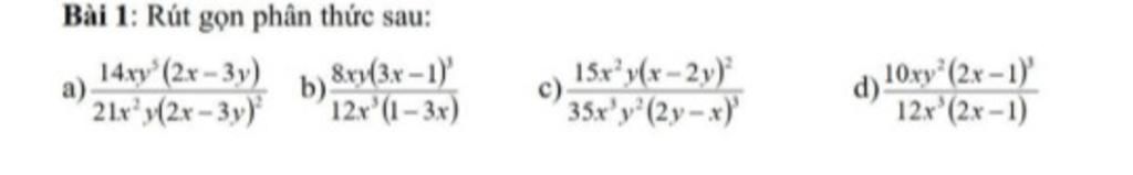
Bài `1:`
`a)`
`(14xy^5(2x-3y))/(21x^2y(2x-3y)^2)`
`= (2y^4 * 7xy(2x-3y))/(3x * 7xy(2x-3y)(2x-3y))`
`= (2y^4)/(3x(2x-3y))`
`b)`
`(8xy(3x-1)^3)/(12x^3(1-3x))`
`= (8xy(3x-1)^3)/(-12x^3(3x-1))`
`= (-2y(3x-1)^2 * 4x(3x-1))/(3x^2 * 4x(3x-1))`
`= (-2y(3x-1)^2)/(3x^2)`
`c)`
`(15x^2y(x-2y)^2)/(35x^3y^2(2y-x)^3)`
`= (15x^2y(x-2y)^2)/(-35x^3y^2(x-2y)^3)`
`= (-3 * 5x^2y(x-2y)^2)/(7xy * 5x^2y(x-2y)^2(x-2y))`
`= -3/(7xy(x-2y))`
`d)`
`(10xy^2(2x-1)^3)/(12x^3(2x-1))`
`= (5y^2(2x-1)^2 * 2x(2x-1))/(6x^2 * 2x(2x-1))`
`= (5y^2(2x-1)^2)/(6x^2)`
Hãy giúp mọi người biết câu trả lời này thế nào?

Bảng tin
142
1436
15
t chs vs vk t do chs vs m thì có mấy lần m lm t suýt khóc r á `=>` uaaa xin loii mak chs vs kaoo ik :(
416
7589
283
còn 3p nx t chs vs vk t m ngủ đi ngủ ngon
416
7589
283
cau-hoi/8280861
142
1436
15
bee ngu ngonn a :(
416
7589
283
da
142
1436
15
ko chuc kaooo
416
7589
283
chúc r mà
142
1436
15
ukk