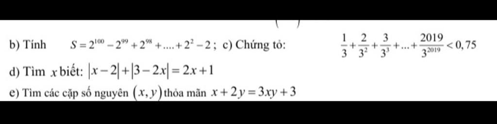
Vui lòng chỉ chọn một câu hỏi
Hoidap247.com Nhanh chóng, chính xác
+
Danh mục mới
4
201
3
2 ý nào cũng đc nhé mn
Bảng tin
Gửi yêu cầu Hủy