

Hãy luôn nhớ cảm ơn và vote 5*
nếu câu trả lời hữu ích nhé!
Đáp án: `+` Giải thích các bước giải:
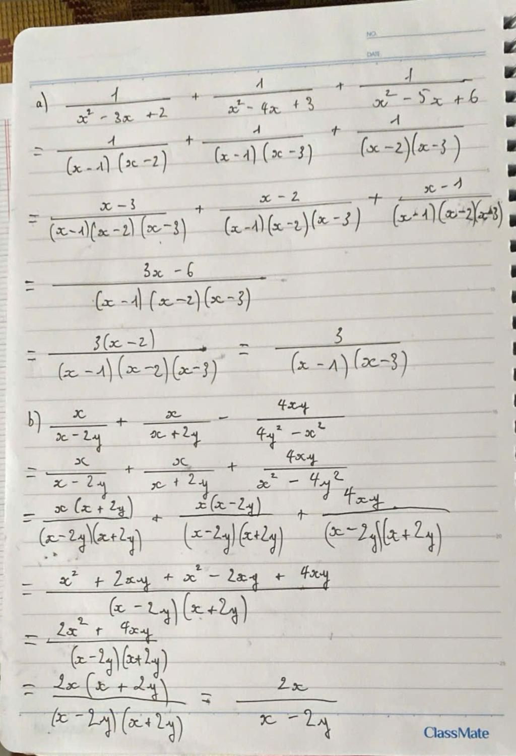
a) `\frac{1}{x^2 - 3x + 2} + \frac{1}{x^2 - 4x + 3} + \frac{1}{x^2 - 5x + 6}`
Điều kiện xác định: $x \neq 1; x \neq 2; x \neq 3$.
`= \frac{1}{(x - 1)(x - 2)} + \frac{1}{(x - 1)(x - 3)} + \frac{1}{(x - 2)(x - 3)}`
`= \frac{x - 3}{(x - 1)(x - 2)(x - 3)} + \frac{x - 2}{(x - 1)(x - 2)(x - 3)} + \frac{x - 1}{(x - 1)(x - 2)(x - 3)}`
`= \frac{x - 3 + x - 2 + x - 1}{(x - 1)(x - 2)(x - 3)}`
`= \frac{3x - 6}{(x - 1)(x - 2)(x - 3)}`
`= \frac{3(x - 2)}{(x - 1)(x - 2)(x - 3)}`
`= \frac{3}{(x - 1)(x - 3)}`
b) `\frac{x}{x - 2y} + \frac{x}{x + 2y} - \frac{4xy}{4y^2 - x^2}`
Điều kiện xác định: $x \neq \pm 2y$.
`= \frac{x}{x - 2y} + \frac{x}{x + 2y} + \frac{4xy}{x^2 - 4y^2}`
`= \frac{x(x + 2y)}{(x - 2y)(x + 2y)} + \frac{x(x - 2y)}{(x - 2y)(x + 2y)} + \frac{4xy}{(x - 2y)(x + 2y)}`
`= \frac{x^2 + 2xy + x^2 - 2xy + 4xy}{(x - 2y)(x + 2y)}`
`= \frac{2x^2 + 4xy}{(x - 2y)(x + 2y)}`
`= \frac{2x(x + 2y)}{(x - 2y)(x + 2y)}`
`= \frac{2x}{x - 2y}`
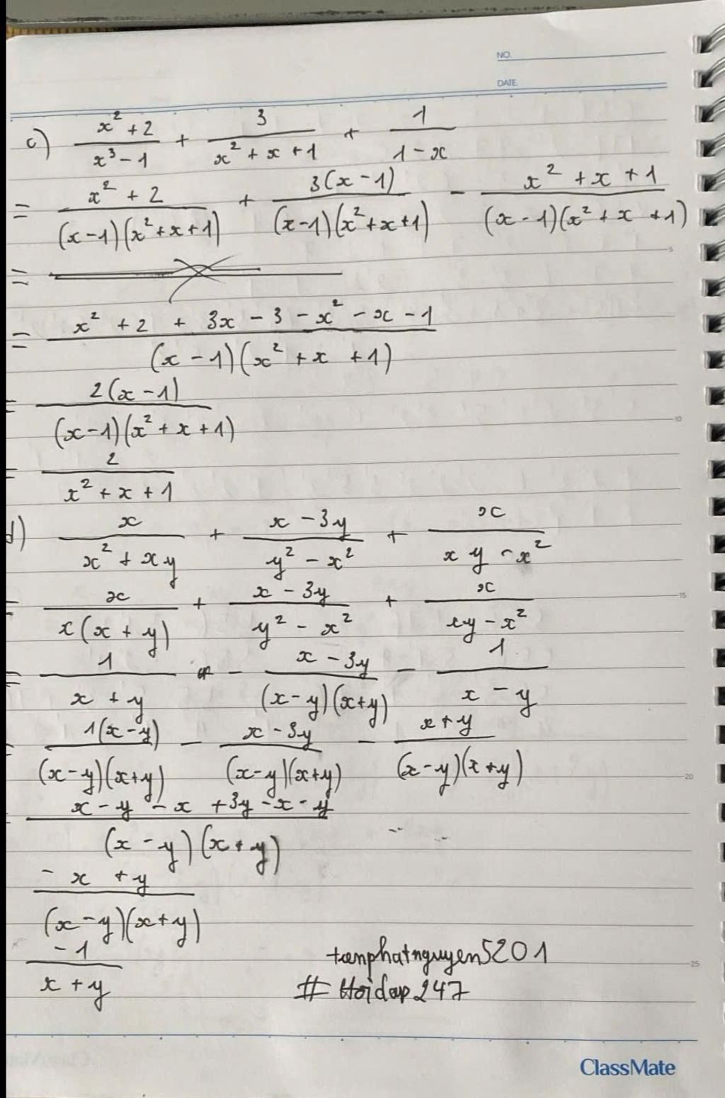
c) `\frac{x^2 + 2}{x^3 - 1} + \frac{3}{x^2 + x + 1} + \frac{1}{1 - x}`
Điều kiện xác định: $x \neq 1$.
`= \frac{x^2 + 2}{(x - 1)(x^2 + x + 1)} + \frac{3}{x^2 + x + 1} - \frac{1}{x - 1}`
`= \frac{x^2 + 2 + 3(x - 1) - (x^2 + x + 1)}{(x - 1)(x^2 + x + 1)}`
`= \frac{x^2 + 2 + 3x - 3 - x^2 - x - 1}{(x - 1)(x^2 + x + 1)}`
`= \frac{2x - 2}{(x - 1)(x^2 + x + 1)}`
`= \frac{2(x - 1)}{(x - 1)(x^2 + x + 1)}`
`= \frac{2}{x^2 + x + 1}`
d) `\frac{x}{x^2 + xy} + \frac{x - 3y}{y^2 - x^2} + \frac{x}{xy - x^2}`
Điều kiện xác định: $x \neq 0; x \neq \pm y$.
`= \frac{x}{x(x + y)} + \frac{x - 3y}{(y - x)(y + x)} + \frac{x}{x(y - x)}`
`= \frac{1}{x + y} + \frac{x - 3y}{(y - x)(y + x)} + \frac{1}{y - x}`
`= \frac{y - x}{(x + y)(y - x)} + \frac{x - 3y}{(x + y)(y - x)} + \frac{x + y}{(x + y)(y - x)}`
`= \frac{y - x + x - 3y + x + y}{(x + y)(y - x)}`
`= \frac{x - y}{(x + y)(y - x)}`
`= \frac{-(y - x)}{(x + y)(y - x)}`
`= \frac{-1}{x +y}`
Hãy giúp mọi người biết câu trả lời này thế nào?
Bảng tin