

Hãy luôn nhớ cảm ơn và vote 5*
nếu câu trả lời hữu ích nhé!
Đáp án:
Giải thích các bước giải:
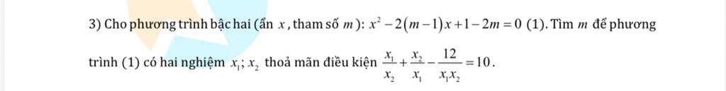
`x^2 -2(m-1)x + 1 -2m = 0`
`( a = 1 ; b =-2(m-1) ; b' = -(m-1) ; c = 1 -2m)`
`Δ' = b'^2 - ac = [-(m-1)]^2 -(1-2m)`
`Δ' = m^2 - 2m +1 - 1+ 2m = m^2 ≥ 0 ∀ m`
⇒ pt luôn có 2 nghiệm
Ta có hệ thức Viet : `x_1 +x_2 = -b/a = 2(m-1) ; x_1.x_2 = c/a = 1-2m`
ta có `a -b +c = 1 + 2m -2 +1 -2m = 0`
`⇒ x_1 = -1 ; x_2 = -c/a = 2m -1`
Theo đầu bài `x_1/x_2 + x_2/x_1 -12/(x_1.x_2) =10`
`⇔ x_1^2 + x_2^2 - 12 = 10x_1.x_2`
`⇔ x_1^2 + x_2^2 - 10(x_1.x_2) - 12 =0`
`⇒ (-1)^2 + (2m-1)^2 - 10(1-2m) -12 = 0`
`⇔ 1 + 4m^2 - 4m +1 -10 + 20m -12 = 0`
`⇔ 4m^2 + 16m -20 = 0`
`⇔ m^2 + 4m -5 =0`
`( a = 1 ; b = 4 ; c =-5)`
`⇒ a +b +c = 1+ 4 -5 = 0`
`⇒ m_1 = 1 ; m_2 = -5`
Vậy `m ∈ (-5; 1)` thì pt có 2 nghiệm thỏa mãn đầu bài
Hãy giúp mọi người biết câu trả lời này thế nào?
Đáp án: `+` Giải thích các bước giải:
Phương trình: $x^2 - 2(m-1)x + 1 - 2m = 0$ (1)
$\Delta' = (m-1)^2 - (1-2m) = m^2 - 2m + 1 - 1 + 2m = m^2$
Để phương trình có hai nghiệm thì $\Delta' \geq 0 \Rightarrow m^2 \geq 0$ (Luôn đúng với mọi $m$).
Áp dụng hệ thức Vi-ét:
$x_1 + x_2 = 2(m-1)$
$x_1x_2 = 1 - 2m$ (Điều kiện $x_1x_2 \neq 0 \Rightarrow m \neq 0,5$)
Ta có: $\frac{x_1}{x_2} + \frac{x_2}{x_1} - \frac{12}{x_1x_2} = 10$
$\Leftrightarrow \frac{x_1^2 + x_2^2 - 12}{x_1x_2} = 10$
$\Leftrightarrow \frac{(x_1+x_2)^2 - 2x_1x_2 - 12}{x_1x_2} = 10$
$\Leftrightarrow \frac{[2(m-1)]^2 - 2(1-2m) - 12}{1-2m} = 10$
$\Leftrightarrow \frac{4m^2 - 8m + 4 - 2 + 4m - 12}{1-2m} = 10$
$\Leftrightarrow 4m^2 - 4m - 10 = 10(1-2m)$
$\Leftrightarrow 4m^2 - 4m - 10 = 10 - 20m$
$\Leftrightarrow 4m^2 + 16m - 20 = 0$
$\Leftrightarrow m^2 + 4m - 5 = 0$
Vì $a + b + c = 1 + 4 + (-5) = 0$ nên phương trình có hai nghiệm:
$m_1 = 1$ (Thỏa mãn)
$m_2 = -5$ (Thỏa mãn)
Hãy giúp mọi người biết câu trả lời này thế nào?
Bảng tin