

Làm hộ em bài này với.
Hãy luôn nhớ cảm ơn và vote 5*
nếu câu trả lời hữu ích nhé!
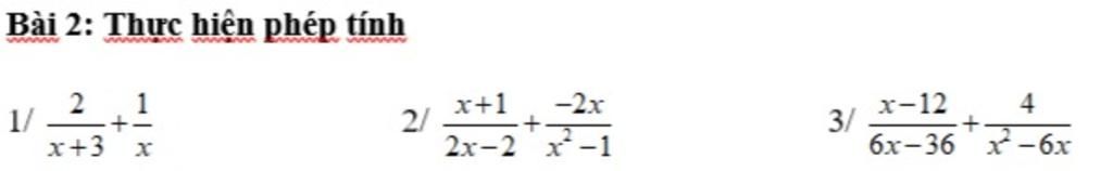
Bài `2`:
`1) 2/(x+3) + 1/(x)` `(x \ne 0 ; x\ne -3)`
`= (2x + x+3)/(x . (x+3))`
`= (3x+3)/(x . (x+3))`
`2) (x+1)/(2x-2) + (-2x)/(x^2 -1) (x \ne +-1)`
`= (x+1)/(2 . (x-1)) + (-2x)/((x+1) . (x-1))`
`= { (x+1)^2 - 4x }/(2 . (x+1) . (x-1))`
`= (x^2 + 2x+1 - 4x)/(2 . (x+1) . (x-1))`
`= (x^2 - 2x+1)/(2 . (x+1) . (x-1))`
`= { (x-1)^2 }/(2. (x+1) . (x-1))`
`= (x-1)/(2x+2)`
`3) (x-12)/(6x - 36) + 4/(x^2 - 6x) (x \ne 6 ;x \ne 0)`
`= (x-12)/(6 . (x-6)) + 4/(x . (x-6))`
`= { x^2 - 12x + 24)/(6x . (x-6))`
`=
Hãy giúp mọi người biết câu trả lời này thế nào?
![]()
Đáp án+Giải thích các bước giải:
`1)(2)/(x+3)+1/x`
`( x\ne0;x\ne-3)`
`=(2.x)/(x.(x+3))+(x+3)/(x.(x+3))`
`=(2x+x+3)/(x.(x+3))`
`=(3x+3)/(x.(x+3))`
`=(3.(x+1))/(x.(x+3))`
`2)(x+1)/(2x-2)+(-2x)/(x^{2}-1)`
`(x\ne\pm1)`
`=((x+1)^{2})/(2.(x-1).(x+1))+(-2x.2)/(2.(x-1).(x+1))`
`=(x^{2}+2x+1-4x)/(2.(x-1).(x+1))`
`=(x^{2}-2x+1)/(2.(x-1).(x+1))`
`=((x-1)^{2})/(2.(x-1).(x+1))`
`=(x-1)/(2.(x+1))`
`3)(x-12)/(6x-36)+(4)/(x^{2}-6x)`
`( x\ne0;x\ne6)`
`=(x.(x-12))/(6x.(x-6))+(4.6)/(6x.(x-6))`
`=(x^{2}-12x+24)/(6x.(x-6))`
Hãy giúp mọi người biết câu trả lời này thế nào?
![]()
Bảng tin