

giúp với ạ em đang cần gấp
Hãy luôn nhớ cảm ơn và vote 5*
nếu câu trả lời hữu ích nhé!
Đáp án:
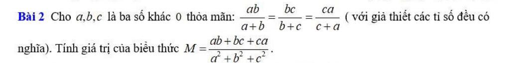
Bài 2:
- Ta có:
$\frac{ab}{a+b}$ = $\frac{bc}{b+c}$ = $\frac{ca}{c+a}$
- So sánh hai tỉ số đầu:
$\frac{ab}{a+b}$ = $\frac{bc}{b+c}$ ⇒ ab(b+c) = bc(a+b)
$ab^{2}$ + abc = abc + $b^{2}$c ⇒ $ab^{2}$ = $b^{2}$c ⇒ a=c
- Tương tự:
$\frac{bc}{b+c}$ = $\frac{ca}{c+a}$ ⇒ b=a
Vậy: a=b=c
- Khi đó:
ab+bc+ca= $3a^{2}$, $a^{2}$ + $b^{2}$ + $c^{2}$ = $3a^{2}$
Suy ra:
M= $\frac{ab + bc + ca}{a^2 + b^2+ c^2}$ = $\frac{3a^2}{3a^2}$ =1
linhdanlazi.vn
Hãy giúp mọi người biết câu trả lời này thế nào?
Bảng tin