

Hãy luôn nhớ cảm ơn và vote 5*
nếu câu trả lời hữu ích nhé!
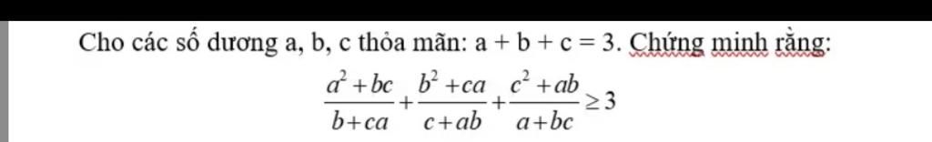
ta có:
a^2+bc/b+ca
vì a+b+c=3
=>b+ca =< b+c
=> a^2+bc/b+ca >= a^2+bc/b+c
ta lại có:
b^2+ ca/c+ab >= b^2+ca/c+a
c^2+ab/a+bc >= c^2+ab/a+b
Ta có:
a^2/b +c + (bc/b+c) >= a^2 +2bc /b+c
mà lại có a^2 +2bc >= a(b+c)
=> a^2+ bc/b+c >= a
=> a^2 +bc/ b+ca+ (b^2+ca/c+ab) + (c^2+ab/a+ bc) >= 3
Dấu "=" xảy ra khi a=b=c=1
Hãy giúp mọi người biết câu trả lời này thế nào?
Đáp án:
Giải thích các bước giải:
Với $a,b,c>0,\ a+b+c=3.$Đặt $p=ab+bc+ca$
Xét $A=\dfrac{a^2+bc}{b+ca}+\dfrac{b^2+ca}{c+ab}+\dfrac{c^2+ab}{a+bc}$
Áp dụng Cauchy-Schwarz dạng Engel:
$A=\dfrac{\left(\sqrt{a^{2}+bc}\right)^{2}}{b+ca}
+\dfrac{\left(\sqrt{b^{2}+ca}\right)^{2}}{c+ab}
+\dfrac{\left(\sqrt{c^{2}+ab}\right)^{2}}{a+bc}
\ge
\dfrac{\left(\sqrt{a^{2}+bc}+\sqrt{b^{2}+ca}+\sqrt{c^{2}+ab}\right)^{2}}
{(b+ca)+(c+ab)+(a+bc)}$
Mà $\left(\sqrt{a^{2}+bc}+\sqrt{b^{2}+ca}+\sqrt{c^{2}+ab}\right)^{2}
\ge 3\Big[(a^{2}+bc)+(b^{2}+ca)+(c^{2}+ab)\Big]$ (Cauchy-Schwarz)
$⇒A \ge
\dfrac{3\left(a^{2}+b^{2}+c^{2}+ab+bc+ca\right)}{(a+b+c)+(ab+bc+ca)}
=
\dfrac{3\left(a^{2}+b^{2}+c^{2}+p\right)}{3+p}$
Mà $a^2+b^2+c^2≥\dfrac{(a+b+c)^2}{3}=\dfrac{9}{3}=3$
$⇒A≥\dfrac{3(3+p)}{3+p}=3$
$⇒A=\dfrac{a^2+bc}{b+ca}+\dfrac{b^2+ca}{c+ab}+\dfrac{c^2+ab}{a+bc}≥3$
Dấu $"="$ xảy ra khi $a=b=c=1$
Hãy giúp mọi người biết câu trả lời này thế nào?
hình như sai rồi vì nếu theo cái bđt kia thì (a+b+c)2 >_ 3x(a2+b2+c2) mà nó phải là dấu bé hơn hoặc bằng mà thế thì ko tìm được min r
Không có sai đâu bạn à
Bạn nhìn nhầm chiều đó
Trong bài đang dùng dạng tương đương chỉ là chuyển vế/chia 3 mà
Mình kiểm tra lại bằng số thì vẫn đúng
ko cái bđt mà chứa căn ở trên cơ
đúng là đúng sô nhưng sai bđt thế thì sao đc
Bảng tin
0
30
0
a,c,b dương chứ có phải nguyên dương đâu mà b+ca<_b+c