

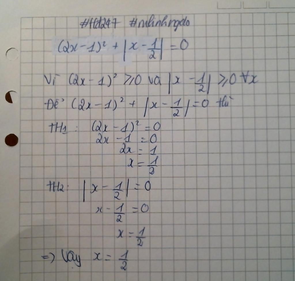
$(2x-1)^{2}$+|x-$\frac{1}{2}$|=0
Hãy luôn nhớ cảm ơn và vote 5*
nếu câu trả lời hữu ích nhé!
`(2x-1)^2 +|x-1/2|=0`
Ta có:
`(2x-1)^2 >=0` (với mọi `x`)
`|x-1/2| >=0` (với mọi `x`)
`{((2x-1)^2=0),(|x-1/2|=0):}`
`{(2x-1=0),(x-1/2=0):}`
`=>x=1/2`
Vậy `x=1/2 ` là giá trị cần tìm
`\color{#3399FF}{H}\color{#6666FF}{ả}\color{#9933FF}{i}\color{#CC33FF}{ }\color{#FF33CC}{P}\color{#FF3399}{h}\color{#FF3366}{o}\color{#FF3333}{n}\color{#FF6633}{g}`
Hãy giúp mọi người biết câu trả lời này thế nào?

Bảng tin
17
663
7
cảm ơn nha
1619
27338
1048
kcj đâu