Vui lòng chỉ chọn một câu hỏi
Hoidap247.com Nhanh chóng, chính xác
+
Danh mục mới
8
539
3
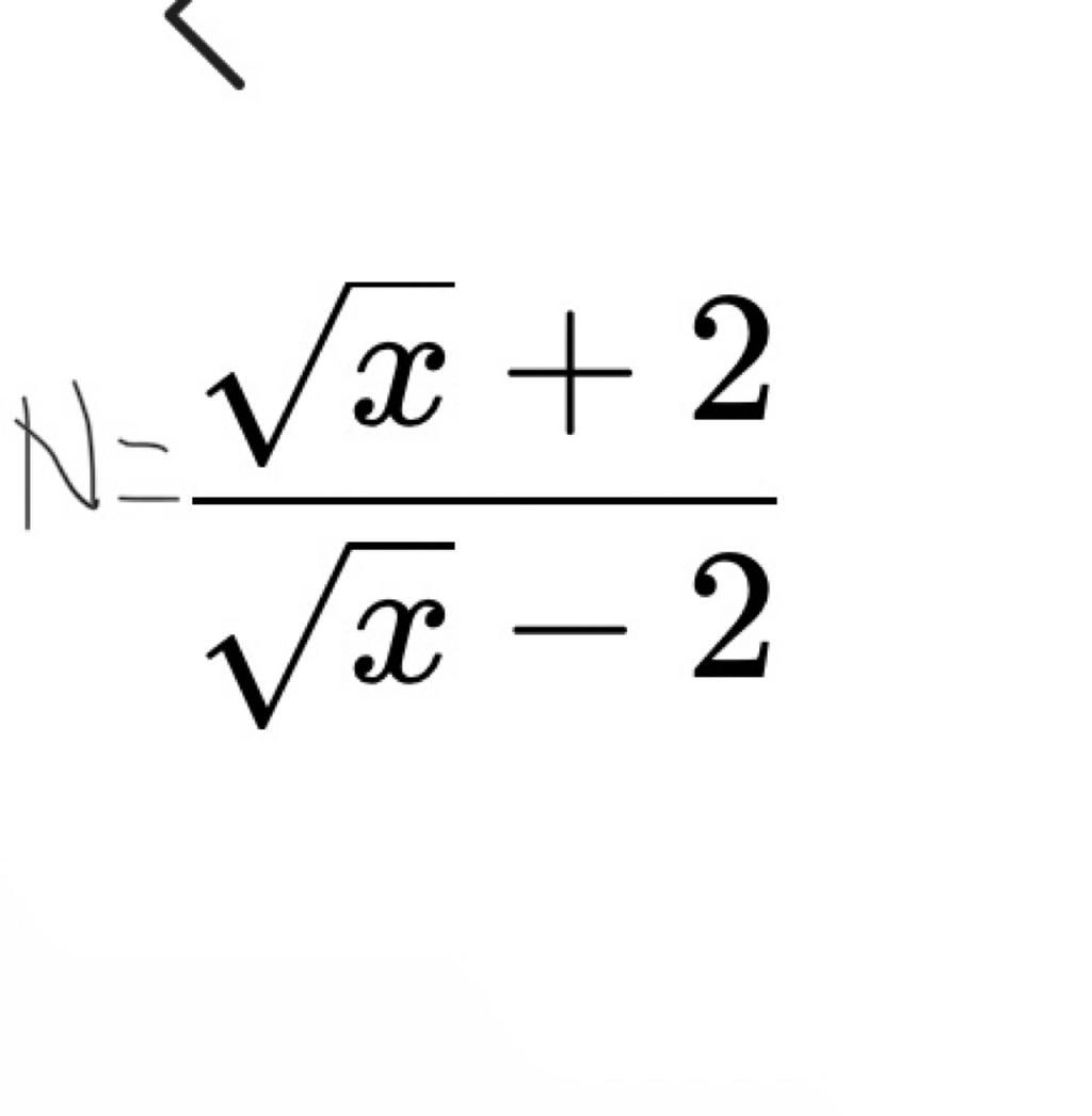
Tìm x € Z để biểu thức N nhận giá trị là số nguyên âm
Hãy luôn nhớ cảm ơn và vote 5* nếu câu trả lời hữu ích nhé!
469
12
309
Để `N` nguyên
`=>sqrt{x}+2 vdots sqrt{x}-2`
`=> sqrt{x}-2+4 vdots sqrt{x}-2`
`=>4 vdots sqrt{x}-2`
`=>sqrt{x}-2 in {-4;-2;-1;1;2;4}`
`=>sqrt{x} in {-2;0;1;3;4;6}`
Mà `sqrt{x}>=0;0<=sqrt{x}<2`
`=>sqrt{x} in {0;1}`
`=>x in {0;1}`
Hãy giúp mọi người biết câu trả lời này thế nào?
97
1020
52
THIẾU ĐK BẠN
rr
ừm bạn nhma mình thắc mắc chút bạn làm số lượng hay chất lượng bạn sửa như v đọc cũng khbt căn x < 2 từ đâu ra đề là N nguyên âm khph N nguyên
Xem thêm:
Hình.
3130
2547
1036
hương à
hương bảo sống ẩn v đó hả
sống ẩn còn gì ơ
Bảng tin
Gửi yêu cầu Hủy
97
1020
52
THIẾU ĐK BẠN
469
12
309
rr
97
1020
52
ừm bạn nhma mình thắc mắc chút bạn làm số lượng hay chất lượng bạn sửa như v đọc cũng khbt căn x < 2 từ đâu ra đề là N nguyên âm khph N nguyên