

Hãy luôn nhớ cảm ơn và vote 5*
nếu câu trả lời hữu ích nhé!
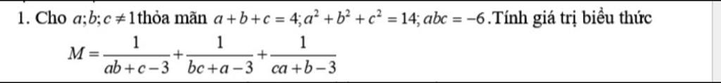
`a+b+c=4`
`to (a+b+c)^2 = 4^2`
`a^2 +b^2 +c^2 + 2(ab+bc+ca) = 16`
`14 +2(ab+bc+ca) =16`
`2(ab+bc+ca)=2`
`ab+bc+ca=1`
`a+b+c=4`
`to {(a=4-b-c),(b=4-a-c),(c=4-a-b):}`
`M=1/(ab+c-3) +1/(bc+a-3)+1/(ca+b-3)`
`M=1/(ab +4-a-b-3) +1/(bc +4 -b-c-3) +1/(ca+4-a-c-3)`
`M=1/(a(b-1)-(b-1)) +1/(b(c-1) - (c-1)) +1/(a(c-1)-(c-1))`
`M=1/((a-1)(b-1)) +1/((b-1)(c-1)) +1/((c-1)(a-1))`
`M=(c-1 +a-1+b-1)/((a-1)(b-1)(c-1))`
`M=(a+b+c-3)/((a-1)(b-1)(c-1))`
`M=(4-3)/((a-1)(b-1)(c-1))`
`M=1/((a-1)(b-1)(c-1))`
Ta có `:`
`(a-1)(b-1)(c-1)=(ab-b-a+1)(c-1)`
`=abc - bc -ac +c -ab + b+a-1`
`=abc-(ab +bc+ca) + (a+b+c) -1`
`=-6 -1+4-1`
`=-4`
`to M=-1/4`
Hãy giúp mọi người biết câu trả lời này thế nào?

Bảng tin
2706
1285
2030
gửi kiểu gii h m ::))
5915
54266
2969
fb
2706
1285
2030
đưa nic đây=)
2706
1285
2030
t đưa acc8 th , acc9 t nó vô đc:))
5915
54266
2969
Nguyễn Vân
2706
1285
2030
id=61583140945410
2706
1285
2030
đây , chứ t khbt acc m acc nào
5915
54266
2969
r đs