Đăng nhập để hỏi chi tiết


Hãy luôn nhớ cảm ơn và vote 5*
nếu câu trả lời hữu ích nhé!
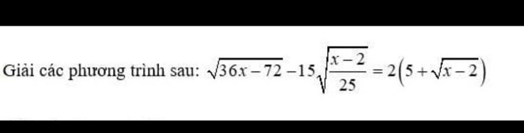
`sqrt{36x-72} -15sqrt{(x-2)/25} = 2(5+sqrt{x-2})` `Đk : x >=2`
`sqrt{36(x-2)} -15. sqrt{x-2}/5 = 10 +2sqrt{x-2}`
`6sqrt{x-2} -3sqrt{x-2} =10 +2sqrt{x-2}`
`3sqrt{x-2} = 10+2sqrt{x-2}`
`3sqrt{x-2} -2sqrt{x-2} =10`
`sqrt{x-2} =10`
`x-2=100`
`x=102 ( tmđk)`
Vậy `....`
Hãy giúp mọi người biết câu trả lời này thế nào?
Bảng tin