

Hãy luôn nhớ cảm ơn và vote 5*
nếu câu trả lời hữu ích nhé!
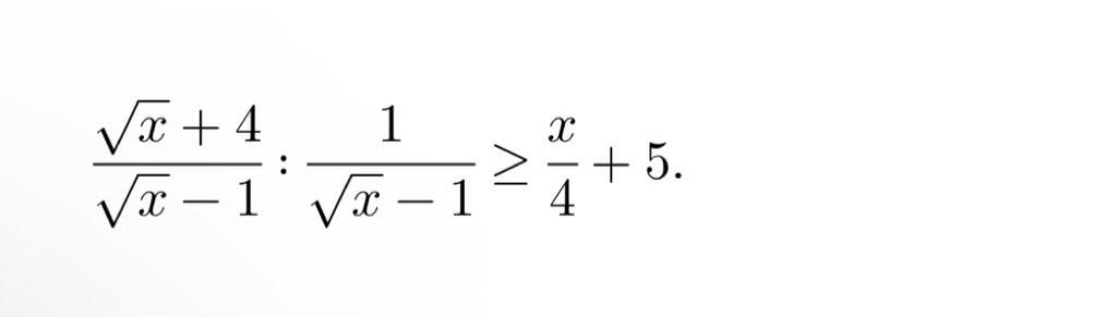
Đáp án:
`x=4`
Giải thích các bước giải:
`(\sqrt{x}+4)/(\sqrt{x}-1):(1)/(\sqrt{x}-1)\ge x/4+20/4`
`(đk : x\ge0;x\ne1)`
`((\sqrt{x}+4).(\sqrt{x}-1))/(\sqrt{x}-1)\ge (x+20)/(4)`
`(4.(\sqrt{x}+4))/(4)\ge (x+20)/(4)`
`4\sqrt{x}+16-x-20\ge0`
`-x+4\sqrt{x}-4\ge0`
`-((\sqrt{x})^{2}-2.\sqrt{x}.2+2^{2})\ge0`
`(\sqrt{x}-2)^{2}\le0`
Do `(\sqrt{x}-2)^{2}\ge0`
Nên: `(\sqrt{x}-2)^{2}=0`
`\sqrt{x}-2=0`
`\sqrt{x}=2`
`x=2^{2}`
`x=4(tmđk)`
Vậy bất phương trình có tập nghiệm là:`x=4`
Hãy giúp mọi người biết câu trả lời này thế nào?
Bảng tin
1806
24678
3741
a mên ơi
1806
24678
3741
anh xóa bớt tvien đc khong -))
1806
24678
3741
kiểu mấy bn ngủ đong hoặc ko cày ắ =))
756
11265
1249
Oke
1806
24678
3741
daa
2579
24175
1763
5260954