

Hãy luôn nhớ cảm ơn và vote 5*
nếu câu trả lời hữu ích nhé!

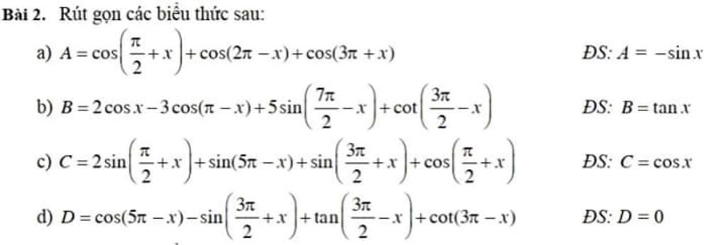
Giải thích các bước giải:
Ta có:
\(\begin{array}{l}
a,\\
A = \cos \left( {\frac{\pi }{2} + x} \right) + \cos \left( {2\pi - x} \right) + \cos \left( {3\pi + x} \right)\\
= \sin \left( {\frac{\pi }{2} - \left( {\frac{\pi }{2} + x} \right)} \right) + \cos \left( { - x} \right) + \cos \left( {\pi + x} \right)\\
= \sin \left( { - x} \right) + \cos x - \cos \left( {\pi - \left( {\pi + x} \right)} \right)\\
= - \sin x + \cos x - \cos \left( { - x} \right)\\
= - \sin x + \cos x - \cos x\\
= - \sin x\\
b,\\
B = 2\cos x - 3\cos \left( {\pi - x} \right) + 5\sin \left( {\frac{{7\pi }}{2} - x} \right) + \cot \left( {\frac{{3\pi }}{2} - x} \right)\\
= 2\cos x + 3\cos x + 5\sin \left( {4\pi - \left( {\frac{\pi }{2} + x} \right)} \right) + \cot \left( {\pi + \left( {\frac{\pi }{2} - x} \right)} \right)\\
= 5\cos x - 5\sin \left( {\frac{\pi }{2} + x} \right) + \cot \left( {\frac{\pi }{2} - x} \right)\\
= 5\cos x - 5\cos \left( {\frac{\pi }{2} - \left( {\frac{\pi }{2} + x} \right)} \right) + \frac{{\cos \left( {\frac{\pi }{2} - x} \right)}}{{\sin \left( {\frac{\pi }{2} - x} \right)}}\\
= 5\cos x - 5\cos \left( { - x} \right) + \frac{{\sin x}}{{\cos x}}\\
= 5\cos x - 5\cos x + \tan x\\
= \tan x\\
c,\\
C = 2\sin \left( {\frac{\pi }{2} + x} \right) + \sin \left( {5\pi - x} \right) + \sin \left( {\frac{{3\pi }}{2} + x} \right) + \cos \left( {\frac{\pi }{2} + x} \right)\\
= 2\cos \left( {\frac{\pi }{2} - \left( {\frac{\pi }{2} + x} \right)} \right) + \sin \left( {4\pi + \left( {\pi - x} \right)} \right) + \sin \left( {2\pi + \left( {x - \frac{\pi }{2}} \right)} \right) + \sin \left( {\frac{\pi }{2} - \left( {\frac{\pi }{2} + x} \right)} \right)\\
= 2\cos \left( { - x} \right) + \sin \left( {\pi - x} \right) + \sin \left( {x - \frac{\pi }{2}} \right) + \sin \left( { - x} \right)\\
= 2\cos x + \sin x - \sin \left( {\frac{\pi }{2} - x} \right) - \sin x\\
= 2\cos x + \sin x - \cos x - \sin x\\
= \cos x\\
d,\\
D = \cos \left( {5\pi - x} \right) - \sin \left( {\frac{{3\pi }}{2} + x} \right) + \tan \left( {\frac{{3\pi }}{2} - x} \right) + \cot \left( {3\pi - x} \right)\\
= \cos \left( {4\pi + \left( {\pi - x} \right)} \right) - \sin \left( {2\pi + \left( {x - \frac{\pi }{2}} \right)} \right) + \tan \left( {\pi + \left( {\frac{\pi }{2} - x} \right)} \right) + \cot \left( { - x} \right)\\
= \cos \left( {\pi - x} \right) - \sin \left( {x - \frac{\pi }{2}} \right) + \tan \left( {\frac{\pi }{2} - x} \right) + \cot \left( { - x} \right)\\
= - \cos x + \sin \left( {\frac{\pi }{2} - x} \right) + \frac{{\sin \left( {\frac{\pi }{2} - x} \right)}}{{\cos \left( {\frac{\pi }{2} - x} \right)}} + \frac{{\cos \left( { - x} \right)}}{{\sin \left( { - x} \right)}}\\
= - \cos x + \cos x + \frac{{\cos x}}{{\sin x}} + \frac{{\cos x}}{{ - \sin x}}\\
= 0 + \cot x - \cot x\\
= 0
\end{array}\)
Hãy giúp mọi người biết câu trả lời này thế nào?

Bảng tin