

Giup em di a, còn nhiều câu hỏi mà gửi không thấy ai làm hết..
Hãy luôn nhớ cảm ơn và vote 5*
nếu câu trả lời hữu ích nhé!
Đáp án:
$\begin{array}{|c|c|c|} \hline 4\textbf{B} & 5\textbf{A} & 6\textbf{A} & 7\textbf{D} \\\hline \end{array}$
Giải thích các bước giải:
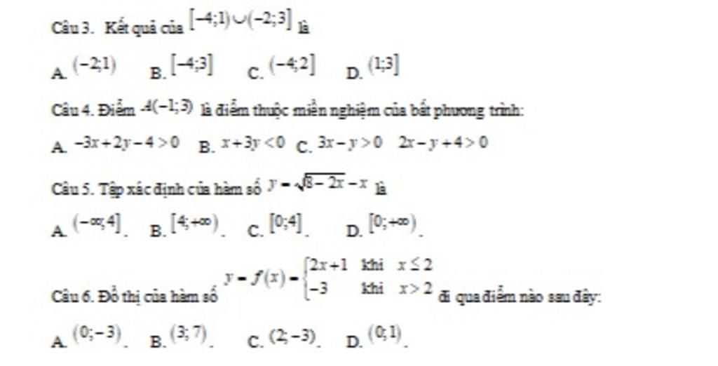
Câu $\textbf{3}:$
$[-4; 1) \cup (-2; 3]$
Ta có:
$[-4; 1) = \{x \in \mathbb{R} \mid -4 \le x < 1\}$
$(-2; 3] = \{x \in \mathbb{R} \mid -2 < x \le 3\}$
$[-4; 1) \cup (-2; 3]$ là tập hợp $x$ thoả mãn hệ bất phương trình sau:
$\left[\begin{array}{l} -4 \le x < 1 \\ -2 < x \le 3 \end{array} \right.$
$\Leftrightarrow -4 \le x \le 3$
$\Rightarrow [-4; 1) \cup (2; -3] = [-4; 3]$
$\Rightarrow \textbf{B}$
Câu $\textbf{4}:$
Thay lần lượt $A(-1; 3)$ vào các bất phương trình, ta có:
$-3 (-1) + 2 \cdot 3 - 4 = 5 > 0$
$\Rightarrow A$ nằm trên miền nghiệm của $-3x + 2y - 4 > 0$
$-1 + 3 \cdot 3 = 8 > 0$
$\Rightarrow A$ không nằm trên miền nghiệm của $x + 3y < 0$
$3 \cdot (-1) - 3 = -6 < 0$
$\Rightarrow A$ không nằm trên miền nghiệm của $3x - y > 0$
$2 \cdot (-1) - 3 + 4 = -1 < 0$
$\Rightarrow A$ không nằm trên miền nghiệm của $2x - y + 4 > 0$
$\Rightarrow \textbf{A}$
Câu $\textbf{5}:$
$y = \sqrt{8 - 2x} - x$ xác định khi $\sqrt{8 - 2x}$ xác định
$\Leftrightarrow 8 - 2x \ge 0$
$\Leftrightarrow x \le 4$
$\Leftrightarrow$ Tập xác định của hàm số $y = \sqrt{8 - 2x} - x$ là $(-\infty; 4]$
$\Rightarrow \textbf{A}$
Câu $\textbf{6}:$
$y = f(x) = \begin {cases} 2x + 1 & \text{khi }x \le 2 \\ -3 &\text{khi } x > 2 \end {cases}$
Ta có: $0 \le 2 \Rightarrow f(0) = 2 \cdot 0 + 1 = 1$
$\Rightarrow f(x)$ đi qua $(0; 1)$
$\Rightarrow$ Loại $\textbf{A}$
Ta có: $3 > 2 \Rightarrow f(3) = -3$
$\Rightarrow f(x)$ đi qua $(3; -3)$
$\Rightarrow$ Loại $\textbf{B}$
Ta có: $2 \le 2 \Rightarrow f(2) =2 \cdot 2 + 1 =5$
$\Rightarrow f(x)$ đi qua $(2; 5)$
$\Rightarrow$ Loại $\textbf{C}$
$\Rightarrow \textbf{D}$
Hãy giúp mọi người biết câu trả lời này thế nào?

Bảng tin