

Hãy luôn nhớ cảm ơn và vote 5*
nếu câu trả lời hữu ích nhé!
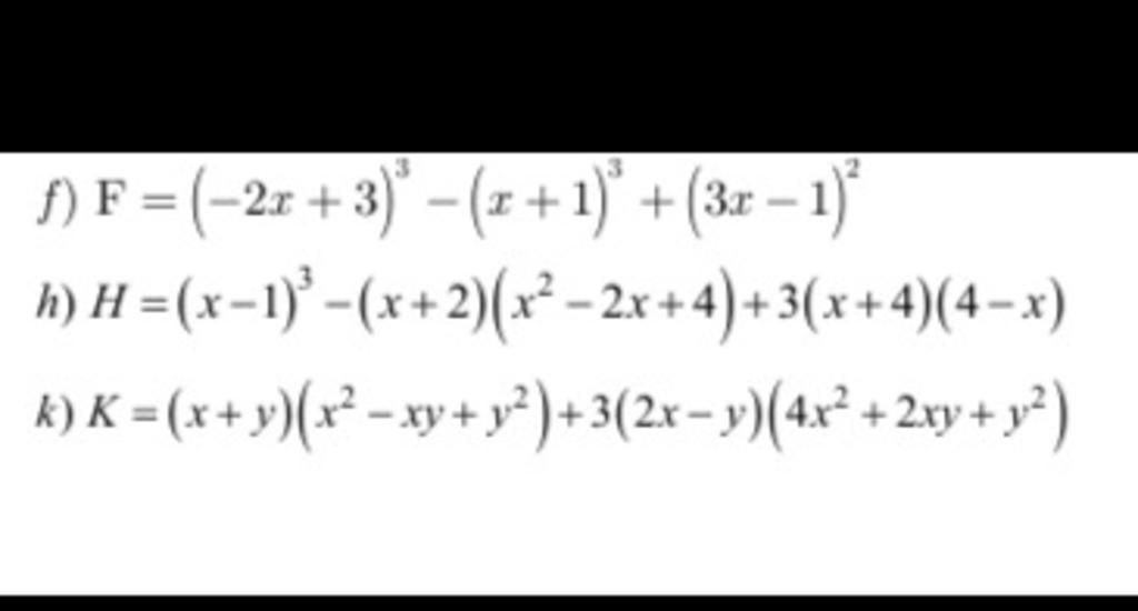
f)
`F=(-2x+3)^3-(x+1)^3+(3x-1)^2`
`F=(-2x)^3+3.(-2x)^2 .3+3.(-2x).3^2+3^3-(x^3+3x^2+3x+1)+(3x)^2-2.3x.1+1^2`
`F=-8x^3+36x^2-54x+27-x^3-3x^2-3x-1+9x^2-6x+1`
`F=-9x^3+42x^2-63x+27`
h)
`H=(x-1)^3-(x+2)(x^2-2x+4)+3(x+4)(4-x)`
`H=x^3-3x^2+3x-1-(x^3+2^3)+3(4^2-x^2)`
`H=x^3-3x^2+3x-1-x^3-8+48-3x^2`
`H=-6x^2+3x+39`
k)
`K=(x+y)(x^2-xy+y^2)+3(2x-y)(4x^2+2xy+y^2)`
`K=(x^3+y^3)+3.[(2x)^3-y^3]`
`K=x^3+y^3+24x^3-3y^3`
`K=25x^3-2y^3`
Hãy giúp mọi người biết câu trả lời này thế nào?
![]()
f,F=(-2x+3)^3-(x+1)^3+(3x-1)^2
=[(-2x+3)-(x-1)^3]+(3x-1)^2
k,K=(x+y)(x^2-xy+y^2)+3(2x-y)(4x^2+2xy+y^2)
=(x^3+y^3)+3(8x^2+y^3)
=x^3+y^3+24x^3+3y^3
=25x^3+4y^3
mik cx ko bt mik lm đúng ko nên nếu sai cho mik xin lỗi
Hãy giúp mọi người biết câu trả lời này thế nào?
Bảng tin