

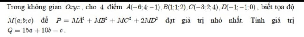
Hãy luôn nhớ cảm ơn và vote 5*
nếu câu trả lời hữu ích nhé!
(không trình bày do tus y/c cách bấm máy)
Nhẩm được tọa độ điểm `I` để `vec(IA) + vec(IB) + vec(IC) + 2vec(ID) = vec0`
`=> I = (A + B + C + 2D)/(1 + 1 + 1 + 2) = (-2 ; 1 ; 1)`
Chèn điểm `=> P = 4MI^2 + 2vec(MI) (vec(IA) + vec(IB) + vec(IC) + 2vec(ID)) + IA^2 + IB^2 + IC^2 + 2ID^2`
`P_(min) <=> 4MI^2` min(Do `vec(IA) + vec(IB) + vec(IC) + 2vec(ID) = vec0` và `IA^2 + IB^2 + IC^2 + 2ID^2 = const`)
`=> M equiv I => M(- 2 ; 1 ; 1)`
Hãy giúp mọi người biết câu trả lời này thế nào?


Đáp án: $-21$
Giải thích các bước giải:
$
\text{Gọi } I(x_I; y_I; z_I) \text{ là điểm thỏa mãn đẳng thức vectơ: } \\
\vec{IA} + \vec{IB} + \vec{IC} + 2\vec{ID} = \vec{0} \\
\Rightarrow \quad \begin{cases} x_I = \dfrac{x_A + x_B + x_C + 2x_D}{1 + 1 + 1 + 2} \\ y_I = \dfrac{y_A + y_B + y_C + 2y_D}{5} \\ z_I = \dfrac{z_A + z_B + z_C + 2z_D}{5} \end{cases} \\
\Leftrightarrow \quad \begin{cases} x_I = \dfrac{-6 + 1 - 3 + 2(-1)}{5} = -2 \\ y_I = \dfrac{4 + 1 + 2 + 2(-1)}{5} = 1 \\ z_I = \dfrac{-1 + 2 + 4 + 2(0)}{5} = 1 \end{cases} \\
\Rightarrow \quad I(-2; 1; 1) \\
\\
\text{Ta biến đổi biểu thức } P: \\
P = MA^2 + MB^2 + MC^2 + 2MD^2 \\
= (\vec{MI} + \vec{IA})^2 + (\vec{MI} + \vec{IB})^2 + (\vec{MI} + \vec{IC})^2 + 2(\vec{MI} + \vec{ID})^2 \\
= 5MI^2 + (IA^2 + IB^2 + IC^2 + 2ID^2) + 2\vec{MI} \cdot (\vec{IA} + \vec{IB} + \vec{IC} + 2\vec{ID}) \\
= 5MI^2 + (IA^2 + IB^2 + IC^2 + 2ID^2) \quad (\text{do } \vec{IA} + \vec{IB} + \vec{IC} + 2\vec{ID} = \vec{0}) \\
\\
\text{Để } P \text{ đạt giá trị nhỏ nhất } \Leftrightarrow 5MI^2 \text{ nhỏ nhất } \Leftrightarrow M \equiv I. \\
\Rightarrow \quad M(-2; 1; 1) \\
\Rightarrow \quad \begin{cases} a = -2 \\ b = 1 \\ c = 1 \end{cases} \\
\\
\text{Khi đó }: \\
Q = 15a + 10b - c \\
= 15\cdot (-2) + 10\cdot 1 - 1 \\
= -30 + 10 - 1 \\
= -21
$
Hãy giúp mọi người biết câu trả lời này thế nào?

Bảng tin
10
614
2
P = 5MI^2 ... và P min khi và chỉ khi 5 MI^2 min chứ đúng không nhỉ
428
4206
246
tui cảm ơn b,tui quên mất hệ số của ID