

Hãy luôn nhớ cảm ơn và vote 5*
nếu câu trả lời hữu ích nhé!
Đáp án `+` Giải thích các bước giải:
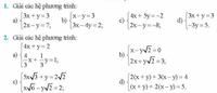
Bài `9:`
`a) (-35).x=-210`
`→x=(-210)/(-35)=6(TM)`
Vậy `x=6`
`b) (-7).x=42`
`→x=42/(-7)=-6(TM)`
Vậy `x=-6`
`c) 180:x=-12`
`→x=180/(-12)=-15(TM)`
Vậy `x=-15`
`color{#66CCFF}{~Z}color{#66CCCC}{o}color{#66CC99}{n}color{#66CC66}{z}color{#66CC33}{o}color{#66CC00}{n}color{#33CCFF}{1}color{#33CCCC}{2}color{#33CC99}{3~}`
Hãy giúp mọi người biết câu trả lời này thế nào?
![]()
`a)`
`(-35).x=-210
`->x=-210/-35=6`
`b)`
`(-7)x=42`
`->x=42/-7=-6`
`c)`
`180:x=-12`
`->x=180:(-12)=-15` `<-` Số bị chia chưa biết bằng số chia chia cho thương
Hãy giúp mọi người biết câu trả lời này thế nào?
Bảng tin