

help e với
e cảm ơnnnnn
Hãy luôn nhớ cảm ơn và vote 5*
nếu câu trả lời hữu ích nhé!
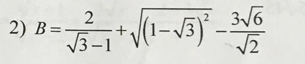
`B = 2/(\sqrt{3}-1) + \sqrt{( 1 - \sqrt{3})^2} - (3\sqrt{6})/(\sqrt{2})`
`B = (2(\sqrt{3}+1))/((\sqrt{3}-1)(\sqrt{3}+1))+ | 1 - \sqrt{3} | - 3\sqrt{3}`
`B = ( 2(\sqrt{3}+1))/( 3 - 1 ) + \sqrt{3} - 1 - 3\sqrt{3}`
`B = ( 2( \sqrt{3} + 1 ))/2 - 2\sqrt{3} - 1`
`B = \sqrt{3} + 1 - 2\sqrt{3} - 1`
`B = -\sqrt{3}`
Hãy giúp mọi người biết câu trả lời này thế nào?
![]()
`B = \frac{2}{\sqrt{3}-1} + \sqrt{(1-\sqrt{3})^2} - \frac{3\sqrt{6}}{\sqrt{2}}`
`B = (\sqrt{3}+1) + (\sqrt{3}-1) - 3\sqrt{3}`
$B = (1+1-3)\sqrt{3} + (1-1)$
`->`$B = -\sqrt{3}$
Hãy giúp mọi người biết câu trả lời này thế nào?
![]()
Bảng tin