

Hãy luôn nhớ cảm ơn và vote 5*
nếu câu trả lời hữu ích nhé!
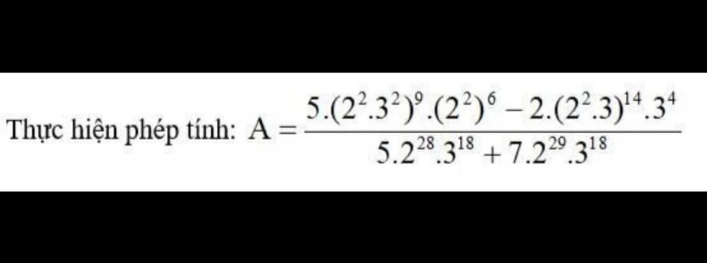
`A=(5*(2^2*3^2)^9*(2^2)^6-2*(2^2*3)^14*3^4)/(5*2^28*3^18+7*2^29*3^18)`
`A=(5*2^18*3^18*2^12-2*2^28*3^14*3^4)/(2^28*3^18*(5+2))`
`A=(5*2^30*3^18-2^29*3^18)/(2^28*3^18*(5+2))`
`=(2^29*3^18*(5*2-1))/(2^28*3^18*(5+2))`
`=(2*9)/(5+2)`
`=18/7`
Hãy giúp mọi người biết câu trả lời này thế nào?
![]()

Đáp án: $A= \dfrac{18}{19}$
Giải thích các bước giải:
$\begin{aligned}
A &= \dfrac{5 \cdot (2^2 \cdot 3^2)^9 \cdot (2^2)^6 - 2 \cdot (2^2 \cdot 3)^{14} \cdot 3^4}{5 \cdot 2^{28} \cdot 3^{18} + 7 \cdot 2^{29} \cdot 3^{18}} \\
\\
&= \dfrac{5 \cdot (2^{2 \cdot 9} \cdot 3^{2 \cdot 9}) \cdot 2^{2 \cdot 6} - 2^1 \cdot (2^{2 \cdot 14} \cdot 3^{14}) \cdot 3^4}{3^{18} \cdot (5 \cdot 2^{28} + 7 \cdot 2^{29})} \\
\\
&= \dfrac{5 \cdot 2^{18} \cdot 3^{18} \cdot 2^{12} - 2^1 \cdot 2^{28} \cdot 3^{14} \cdot 3^4}{3^{18} \cdot 2^{28} \cdot (5 + 7 \cdot 2^1)} \\
\\
&= \dfrac{5 \cdot 2^{18+12} \cdot 3^{18} - 2^{1+28} \cdot 3^{14+4}}{3^{18} \cdot 2^{28} \cdot (5 + 14)} \\
\\
&= \dfrac{5 \cdot 2^{30} \cdot 3^{18} - 2^{29} \cdot 3^{18}}{3^{18} \cdot 2^{28} \cdot 19} \\
\\
&= \dfrac{3^{18} \cdot 2^{29} \cdot (5 \cdot 2^1 - 1)}{3^{18} \cdot 2^{28} \cdot 19} \\
\\
&= \dfrac{2^{29}}{2^{28}} \cdot \dfrac{10 - 1}{19} \\
\\
&= 2^1 \cdot \dfrac{9}{19} \\
\\
&= \dfrac{18}{19}
\end{aligned}$
Hãy giúp mọi người biết câu trả lời này thế nào?
Bảng tin
0
212
0
sai r á