

Hãy luôn nhớ cảm ơn và vote 5*
nếu câu trả lời hữu ích nhé!
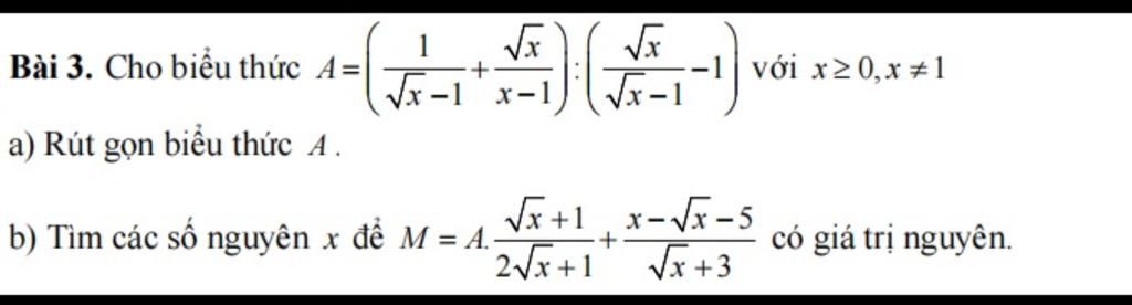
ĐKXĐ `x >= 0 ; x \ne 1`
`a) A = 1/(\sqrt{x}-1)+(\sqrt{x})/(x-1)) : ((\sqrt{x})/(\sqrt{x}-1)-1)`
`A = (\sqrt{x}+1+\sqrt{x})/((\sqrt{x}-1)(\sqrt{x}+1)) : ( \sqrt{x} - \sqrt{x} + 1 )/(\sqrt{x}-1)`
`A = ( 2\sqrt{x} + 1 )/(( \sqrt{x} - 1 )( \sqrt{x} + 1 )) . ( \sqrt{x} - 1 )`
`A = ( 2\sqrt{x} + 1 )/( \sqrt{x} + 1 )`
`Vậy A = ( 2\sqrt{x} + 1 )/( \sqrt{x} + 1 )` với `x >= 0 ; x \ne 1`
`b) M = A . ( \sqrt{x} + 1 )/( 2\sqrt{x} + 1 ) + ( x - \sqrt{x} - 5 )/( \sqrt{x} + 3 )`
`M = ( 2\sqrt{x} + 1 )/( \sqrt{x} + 1 ) . ( \sqrt{x} + 1 )/( 2\sqrt{x} + 1 ) + ( x - \sqrt{x} - 5 )/( \sqrt{x} + 3 )`
`M = 1 + ( x - \sqrt{x} - 5 )/( \sqrt{x} + 3 )`
`M = ( \sqrt{x} + 3 + x- \sqrt{x} -5 )/( \sqrt{x} + 3 )`
`M = ( x - 2 )/( \sqrt{x} + 3 )`
`M = ( x - 9 + 7 )/( \sqrt{x} + 3 )`
`M = \sqrt{x} - 3 + 7/( \sqrt{x} + 3 )`
`M in Z => \sqrt{x} - 3 + 7/( \sqrt{x} + 3 ) in Z`
`Do x in Z ; x >= 0 => x in N` xảy ra `1` trong `2` TH sau:
`+`TH`1: x` không là số chính phương `=> \sqrt{x} - 3 + 7/( \sqrt{x} + 3 ) in I` ( loại )
`+`TH`2: x` là số chính phương `=> \sqrt{x} - 3 + 7/( \sqrt{x} + 3 ) in Z`
`( \sqrt{x} + 3) in Ư( 7 ) và \sqrt{x} + 3 >= 3 AA x >= 0`
`\sqrt{x} + 3 = 7`
`\sqrt{x} = 4`
`x = 16` ( TMĐKXĐ )
`Vậy x = 16` thì `M in Z`
Hãy giúp mọi người biết câu trả lời này thế nào?

Đáp án+Giải thích các bước giải:
`a)A=((1)/(\sqrt{x}-1)+(\sqrt{x})/(x-1)):((\sqrt{x})/(\sqrt{x}-1)-1)`
`(đk: x\ge0;x\ne1)`
`A=[(\sqrt{x}+1)/((\sqrt{x}-1).(\sqrt{x}+1))+(\sqrt{x})/((\sqrt{x}-1).(\sqrt{x}+1))]:((\sqrt{x})/(\sqrt{x}-1)-(\sqrt{x}-1)/(\sqrt{x}-1))`
`=[(\sqrt{x}+1+\sqrt{x})/((\sqrt{x}-1).(\sqrt{x}+1))].((\sqrt{x}-1)/(\sqrt{x}-\sqrt{x}+1))`
`=((2\sqrt{x}+1).(\sqrt{x}-1))/((\sqrt{x}-1).(\sqrt{x}+1). 1)`
`=(2\sqrt{x}+1)/(\sqrt{x}+1)`
`b)M=A. (\sqrt{x}+1)/(2\sqrt{x}+1)+(x-\sqrt{x}-5)/(\sqrt{x}+3)`
`(đk : x\ge0;x\ne1)`
`=(2\sqrt{x}+1)/(\sqrt{x}+1). (\sqrt{x}+1)/(2\sqrt{x}+1)+(x-\sqrt{x}-5)/(\sqrt{x}+3)`
`=1+(x-\sqrt{x}-5)/(\sqrt{x}+3)`
`=(\sqrt{x}+3+x-\sqrt{x}-5)/(\sqrt{x}+3)`
`=(x-2)/(\sqrt{x}+3)`
`=(x-9+7)/((\sqrt{x}+3))`
`=((\sqrt{x})^{2}-3^{2}+7)/((\sqrt{x}+3))`
`=((\sqrt{x}-3).(\sqrt{x}+3))/(\sqrt{x}+3)+(7)/(\sqrt{x}+3)`
`=(\sqrt{x}-3)+(7)/(\sqrt{x}+3)`
Để `M` nguyên thì `(7)/(\sqrt{x}+3)` nguyên
`->(\sqrt{x}+3) \in Ư(7)={\pm1;\pm7}`
`+)TH1: \sqrt{x}+3=1->\sqrt{x}=-2` (Vô lí)
`+)TH2: \sqrt{x}+3=-1->\sqrt{x}=-4` (Vô lí)
`+)TH3: \sqrt{x}+3=-7->\sqrt{x}=-10` (Vô lí)
`+)TH4: \sqrt{x}+3=7->\sqrt{x}=4->x=4^{2}=16(tmđk)`
Vậy `x=16` là giá trị `x` nguyên để `M` có giá trị nguyên
Hãy giúp mọi người biết câu trả lời này thế nào?

Bảng tin
2176
792
1799
Cho zô nhóm ngủ đông đk ạ..
13058
36452
10592
ko