Vui lòng chỉ chọn một câu hỏi
Hoidap247.com Nhanh chóng, chính xác
+
Danh mục mới
0
807
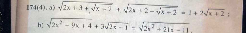
Giải pt sau, mình sẽ vote cho bạn nhanh và chính xác
Xem thêm:
Bảng tin
Gửi yêu cầu Hủy