

Hãy luôn nhớ cảm ơn và vote 5*
nếu câu trả lời hữu ích nhé!
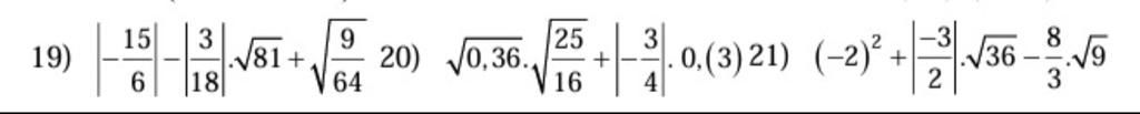
`19)`
`|-15/6|-|3/18|.\sqrt{81}+\sqrt{9/64}`
`=5/2-1/6. 9+3/8`
`=5/2-3/2+3/8`
`=1+3/8`
`=11/8`
`20)`
`\sqrt{0,36}.\sqrt{25/16}+|-3/4|.0,(3)`
`=0,6. 5/4+3/4 . 1/3`
`=3/4+1/4`
`=1`
`21)`
`(-2)^2+|-3/2|.\sqrt{36}-8/3 .\sqrt{9}`
`=4+3/2 . 6-8/3 .3`
`=4+9-8`
`=13-8`
`=5`
Hãy giúp mọi người biết câu trả lời này thế nào?

`#2k12`
`19) |-(15)/6|-|3/(18)| . \sqrt {81} + \sqrt{9/(64)}`
`= 5/2 - 1/6 . 9 + 3/8`
`= 5/2 - 3/2 + 3/8`
`= 1 + 3/8`
`= (11)/8`
`20) \sqrt{0,36} . \sqrt{(25)/(16)} + |-3/4| . 0,(3)`
`= 0,6 . 5/4 + 3/4 . 1/3`
`= 3/5 . 5/4 + 3/4 . 1/3`
`= 3/4 + 1/4 = 1`
`21) (-2)^2 + |-3/2| . \sqrt{36} - 8/3 . \sqrt {9}`
`= 4 + 3/2 . 6 - 8/3 . 3`
`= 4 + 4 - 8`
`= 8 - 8=0`
Hãy giúp mọi người biết câu trả lời này thế nào?

Bảng tin