

rút gọnnn QQQQQQQQQQQ
Hãy luôn nhớ cảm ơn và vote 5*
nếu câu trả lời hữu ích nhé!
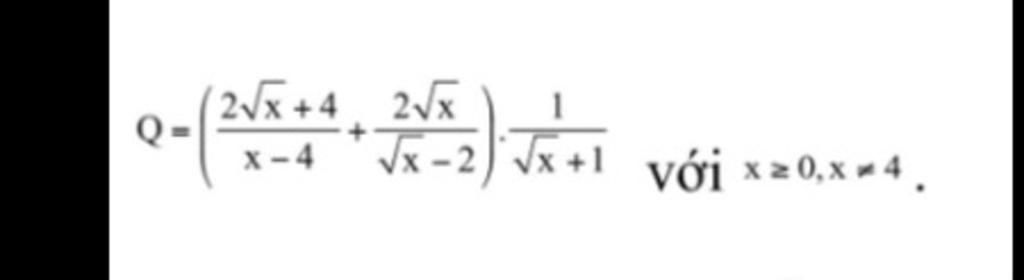
`Q=((2\sqrt{x}+4)/(x-4)+(2\sqrt{x})/(\sqrt{x}-2)). 1/(\sqrt{x}+1)`
`Q=[(2(\sqrt{x}+2))/((\sqrt{x}-2)(\sqrt{x}+2))+(2\sqrt{x})/(\sqrt{x}-2)]. 1/(\sqrt{x}+1)`
`Q=(2/(\sqrt{x}-2)+(2\sqrt{x})/(\sqrt{x}-2)). 1/(\sqrt{x}+1)`
`Q=(2\sqrt{x}+2)/(\sqrt{x}-2). 1/(\sqrt{x}+1)`
`Q=(2(\sqrt{x}+1))/(\sqrt{x}-2). 1/(\sqrt{x}+1)`
`Q=2/(\sqrt{x}-2)`
Hãy giúp mọi người biết câu trả lời này thế nào?
`Q=((2\sqrtx+4)/(x-4)+(2\sqrtx)/(\sqrtx-2)).1/(\sqrtx+1)` (với `x>=0;x\ne4`)
`=[(2\sqrtx+4+2\sqrtx(\sqrtx+2))/(x-4)].1/(\sqrtx+1)`
`=[(2\sqrtx+4+2x+4\sqrtx))/(x-4)].1/(\sqrtx+1)`
`=(6\sqrtx+2x+4)/(x-4).(1)/(\sqrtx+1)`
`=(2(\sqrtx+1)(\sqrtx+2))/((\sqrtx+2)(\sqrtx-2)).(1)/(\sqrtx+1)`
`=2/(\sqrtx-2)`
`@` ltmn
Hãy giúp mọi người biết câu trả lời này thế nào?

Bảng tin