Đăng nhập để hỏi chi tiết


3rút gọnnnnnnnnnnnnnnnnnnnnnnn
Hãy luôn nhớ cảm ơn và vote 5*
nếu câu trả lời hữu ích nhé!
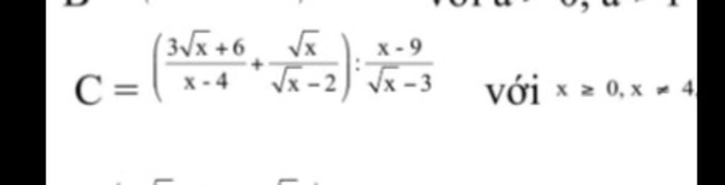
`C=((3\sqrt{x}+6)/(x-4)+(\sqrt{x})/(\sqrt{x}-2)):(x-9)/(\sqrt{x}-3)`
`C=[(3(\sqrt{x}+2))/((\sqrt{x}-2)(\sqrt{x}+2))+(\sqrt{x})/(\sqrt{x}-2)]:((\sqrt{x}-3)(\sqrt{x}+3))/(\sqrt{x}-3)`
`C=(3/(\sqrt{x}-2)+(\sqrt{x})/(\sqrt{x}-2)):(\sqrt{x}+3)`
`C=(\sqrt{x}+3)/(\sqrt{x}-2). 1/(\sqrt{x}+3)`
`C=1/(\sqrt{x}-2)`
Hãy giúp mọi người biết câu trả lời này thế nào?

Bảng tin