Đăng nhập để hỏi chi tiết


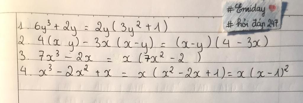
1. 6y^3 + 2y
2. 4(x-y)-3x(x-y)
3. 7x^3-2x
4. x^3-2x^2+x
Hãy luôn nhớ cảm ơn và vote 5*
nếu câu trả lời hữu ích nhé!
`1) 6y^3 + 2y`
`= 2y( 3y^2+ 1 )`
`2) 4( x - y ) - 3x( x - y )`
`= ( x - y )( 4 - 3x )`
`3) 7x^3 - 2x`
`= x( 7x^2 - 2 )`
`4) x^3 - 2x^2 + x`
`= x( x^2 - 2x + 1 )`
`= x( x - 1 )^2`
Hãy giúp mọi người biết câu trả lời này thế nào?

Bảng tin
12
230
4
thank bn