Vui lòng chỉ chọn một câu hỏi
Hoidap247.com Nhanh chóng, chính xác
+
Danh mục mới
10
534
6
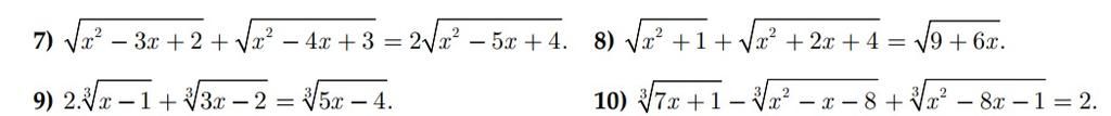
giúp em với ạ cần rát rất gấp r ạ
Xem thêm:
Bảng tin
Gửi yêu cầu Hủy