

Hãy luôn nhớ cảm ơn và vote 5*
nếu câu trả lời hữu ích nhé!
Đáp án `+` Giải thích các bước giải:
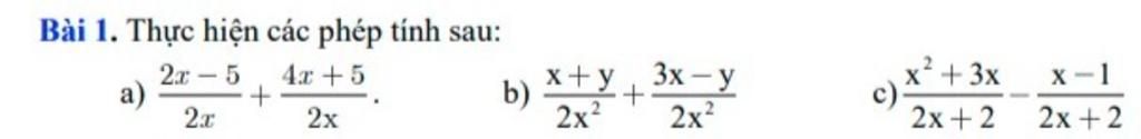
`a) (2x - 5)/(2x) + (4x + 5)/(2x)`
Điều kiện: `x \ne 0`
`= (2x - 5 + 4x + 5)/(2x)`
`= (6x)/(2x)`
`= 3`
`b) (x + y)/(2x^2) + (3x - y)/(2x^2)`
Điều kiện: `x\ne 0`
`= (x + y + 3x - y)/(2x^2)`
`= (4x)/(2x^2)`
`= 2/x`
`c) (x^2 + 3x)/(2x + 2) - (x - 1)/(2x + 2)`
Điều kiện: `x \ne -1`
`= (x^2 + 3x - x + 1)/(2x + 2)`
`= (x^2 + 2x + 1)/(2x + 2)`
`= ((x + 1)^2)/(2(x + 1))`
`= (x + 1)/2`
Hãy giúp mọi người biết câu trả lời này thế nào?
![]()
Đáp án+Giải thích các bước giải:
`a)` ĐKXĐ `x\ne0`
`(2x-5)/(2x)+(4x+5)/(2x)`
`=(2x-5+4x+5)/(2x)`
`=(6x)/(2x)=3`
`b)` ĐKXĐ `x\ne0`
`(x+y)/(2x^2)+(3x-y)/(2x^2)`
`=(x+y+3x-y)/(2x^2)`
`=(4x)/(2x^2)`
`=2/x`
`c)` ĐKXĐ `x\ne-1`
`(x^2+3x)/(2x+2)-(x-1)/(2x+2)`
`=(x^2+3x-x+1)/(2x+2)`
`=(x^2+2x+1)/(2x+2)`
`=(x+1)^2/(2(x+1))`
`=(x+1)/2`
Hãy giúp mọi người biết câu trả lời này thế nào?
![]()
Bảng tin

1839
10910
1734
Vô nhóm mình k ạ , nhóm mình k đua nên cậu có thể lm tt ạ . Mong cậu trl ạ . Cảm ơn