Vui lòng chỉ chọn một câu hỏi
Hoidap247.com Nhanh chóng, chính xác
+
Danh mục mới
10
339
6
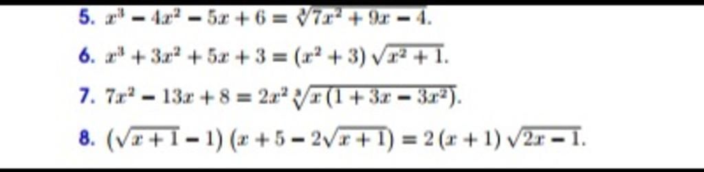
Giải các phương trình vô tỉ sau:
Hãy luôn nhớ cảm ơn và vote 5* nếu câu trả lời hữu ích nhé!
Xem thêm:
Bảng tin
Gửi yêu cầu Hủy