Tham Gia Group Dành Cho Lớp 11 Chia Sẻ, Trao Đổi Tài Liệu Miễn Phí
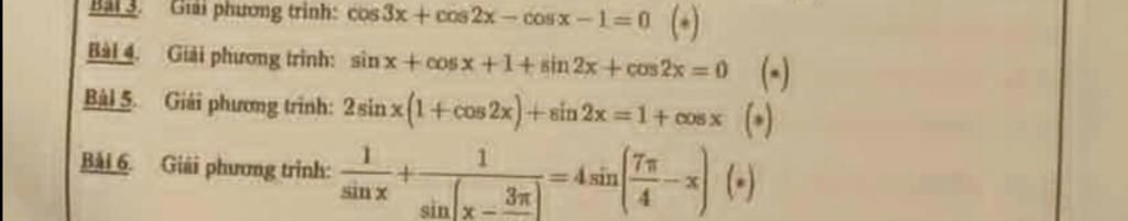
Bal 3,
BAI 4.
Giải phương trình: cos3x +cs2x−cosx−1=0 (-)
Giải phương trình: sinx + cosx+1+sin2x + cos2x=0 (-)
Bài 5. Giải phương trình: 2sinx(1 + cos2x) + sin2x = 1 + cos x
Bài 6. Giải phương trình:
1
sin x
(•)
1
7
+
4 sin
3元
4
*) (-)
sin x