

Hãy luôn nhớ cảm ơn và vote 5*
nếu câu trả lời hữu ích nhé!
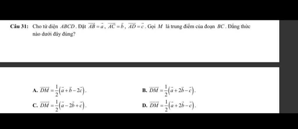
`\vec{DM}=\vec{DA}+\vec{AB}+\vec{BM}`
`=\vec{AB}-\vec{AD}+ 1/2 \vec{BC}`
`=\vec{AB}-\vec{AD}+ 1/2 (\vec{BA}+\vec{AC})`
`=1/2 \vec{AB}+ 1/2 \vec{AC}-\vec{AD}`
`=1/2 (\vec{AB}+\vec{AC}-2\vec{AD})`
`=1/2 (\vec{a}+\vec{b}-2\vec{c})`
Hãy giúp mọi người biết câu trả lời này thế nào?

`\vec{DM}=\vec{DA}+\vec{AB}+\vec{BM}=-\vec{AD}+\vec{AB}+1/2\vec{BC}=-\vec{AD}+\vec{AB}+1/2(\vec{AC}-\vec{AB})=-\vec{AD}+1/2\vec{AB}+1/2\vec{AC}=-\vec{c}+1/2\vec{a}+1/2\vec{b}=1/2(\vec{a}+\vec{b}-2\vec{c})`
`->` Đáp án: `\bb{A}`
Hãy giúp mọi người biết câu trả lời này thế nào?

Bảng tin