

Hãy luôn nhớ cảm ơn và vote 5*
nếu câu trả lời hữu ích nhé!
Đáp án`+`Giải thích các bước giải:
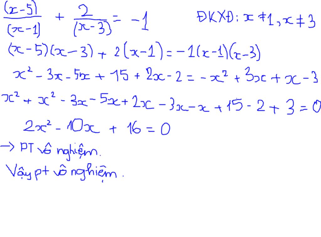
`(x-5)/(x-1)+2/(x-3)=-1` `(ĐKXĐ : x ne 1 ; x ne 3)`
`((x-5)(x-3))/((x-1)(x-3))+(2(x-1))/((x-1)(x-3))=(-(x-1)(x-3))/((x-1)(x-3))`
`(x-5)(x-3)+2(x-1)=-(x-1)(x-3)`
`x^2-8x+15+2x-2=-x^2+4x-3`
`2x^2-10x+16=0`
`x^2-5x+8=0`
`x^2-2*x*5/2+(5/2)^2+7/4=0`
`(x-5/2)^2+7/4=0`
Vì `(x-5/2)^2≥0 forall x in R`
`-> (x-5/2)^2+7/4≥7/4>0`
Vậy phương trình đã cho vô nghiệm.
Hãy giúp mọi người biết câu trả lời này thế nào?
![]()
Bảng tin
400
11804
612
t viết trên laptop nên kh dc đẹp, b thông cảm nhé
2
1197
0
Có vs hiểu là đc á, cảm ơn bn nha
400
11804
612
Chỗ suy ra kia là bấm máy nó tự ra vô nghiệm nên kh cần giải thích gì tus nhé, cứ ghi thế luôn cũng dc, mà tus vote 4s t buồn :(( tus sửa cho 5s dc kh ạ
2
1197
0
Oke nè, tại bth tui cx hay vote vậy quen r á, xloi nha
400
11804
612
dạ cảm ơn b =))
2
1197
0
Mà bn xem bài mới của mk, cứu mk tiếp vs đk=))