Vui lòng chỉ chọn một câu hỏi
Hoidap247.com Nhanh chóng, chính xác
+
Danh mục mới
0
51
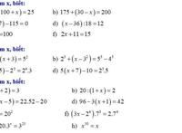
Bài 4 phần c các bn sửa vế phải thành 2mũ 2 nhân 5 mũ 2 trừ 20 nhé
Hãy luôn nhớ cảm ơn và vote 5* nếu câu trả lời hữu ích nhé!
423
93
270
`2^2 . 5^2 - 20`
`= (2 .5)^2 - 20`
`= 10^2 - 20`
`= 100 - 20`
`= 80`
Hãy giúp mọi người biết câu trả lời này thế nào?
4000
1362
2153
`c)`
`2^2 * 5^2 - 20`
`= 4 * 25 - 20`
Bảng tin
Gửi yêu cầu Hủy