Tham Gia Group Dành Cho Lớp 9 - Ôn Thi Vào Lớp 10 Miễn Phí
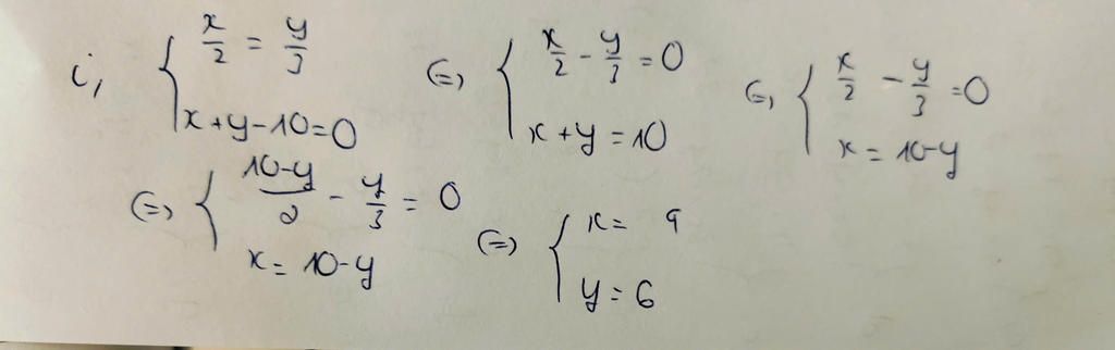
1/ Giải hệ phương trình bằng phương phần thể
Bởi lập. Giải các hệ phương tỉnh sau bằng phương pháp thể
2x+3y=-2
4x+3=6
9=48+354
09½ 2x + y = 2
jx-6=173+4=74
j-3=6
1- 2x + 6 = - 12
6y
+L. 2=0
5 3 3
4-5-10-0
5x - y = 11
40
10=0