Hãy luôn nhớ cảm ơn và vote 5*
nếu câu trả lời hữu ích nhé!
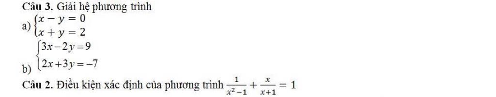
`a) {(x - y = 0),(x + y = 2):}`
`=> {(x - y = 0),(-2y = -2):}`
`=> {(x-y=0),(x = 1):}`
`=> {(y = 1),(x = 1):}`
``````
`b) {(3x - 2y = 9),(2x + 3y = -7):}`
`=> {(9x - 6y = 27),(4x + 6y = -14):}`
`=> {(3x - 2y = 9),(13x = 13):}`
`=> {(x =1),(y = -3):}`
Câu `2:`
Đkxđ `x^2 - 1 ne 0`
`=> (x - 1)(x + 1) ne 0`
`=> x ne +-1`
Hãy giúp mọi người biết câu trả lời này thế nào?
`\color{#4DA6E6}{N} \color{#668EDD}{o} \color{#8077D5} {t} \color{#995FCD}{a} \color{#CC2FBC}{r} \color{#E618B3}{i} \color{#FF00AB}{a} \color{#EB5099}{2} \color{#EA4094}{3} \color{#EA2F90}{4}`
Câu `1:`
`a) {(x - y = 0),(x + y = 2):}`
`<=> {(x - y = 0),(2x = 2):}`
`<=> {(x = y),(x = 1):}`
`<=> {(y = 1),(x = 1):}`
Vậy `(x; y) = (1; 1)`
`b) {(3x - 2y = 9),(2x + 3y = -7):}`
`<=> {(6x - 4y = 18),(6x + 9y = -21):}`
`<=> {(3x - 2y = 9),(-13y = 39):}`
`<=> {(x =1),(y = -3):}`
Câu `2:`
Điều kiện xác định: `x^2 - 1 \ne 0`
`<=> (x - 1)(x + 1) \ne 0`
`<=> x \ne +-1`
Hãy giúp mọi người biết câu trả lời này thế nào?
Bảng tin
2698
19210
2860
khog pk idol j dou a
2698
19210
2860
xl tui cs nhóm ruii
365
3341
29
qua nhóm t đi :((
2698
19210
2860
nhóm mạnh makk
365
3341
29
đang thiếu tv lọc tv
2698
19210
2860
top 1 bxh roi con gii
365
3341
29
nhưng đang yếu k nổi
2698
19210
2860
thuii aa xin loii