

làm chi tiết giúp em
Hãy luôn nhớ cảm ơn và vote 5*
nếu câu trả lời hữu ích nhé!
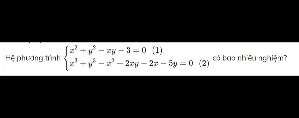
`( 1 ) <=> x^2 - xy + y^2 = 3`
`( 2 ) <=> ( x + y )( x^2 - xy + y^2 ) - x^2 + 2xy - 2x - 5y = 0`
`3x + 3y - x^2 + 2xy + 2xy - 2x - 5y = 0`
`x^2 - x - 2xy + 2y = 0`
`x( x - 1 ) - 2y( x - 1 ) = 0`
`( x - 2y )( x - 1 ) = 0`
`x = 1 ( 3 ) hoặc x = 2y ( 4 )`
`( 1 ) ; ( 3 ) => y^2 - y + 1 = 3`
`y^2 - y - 2 = 0`
`( y - 2 )( y + 1 ) = 0`
`y = 2 hoặc y = -1`
`( 1 ) ; ( 4 ) => 4y^2 + y^2 - 2y^2 = 3`
`3y^2 = 3`
`y^2 = 1`
`y = +- 1 => x = +- 2`
`Vậy ( x ; y ) in { ( 2 ; 1 ) ; ( -2 ; -1 ) ; ( 1 ; -1 ) ; ( 1 ; 2 ) }`
`=>` có `4` nghiệm
Hãy giúp mọi người biết câu trả lời này thế nào?

Bảng tin
13420
1465
10950
đủ hết chill mới ngầu
4000
1436
2153
anh ráng đi khoảng 80k điểm nx là được =))
13420
1465
10950
đúng r có 80k nữa thôi nghe mệt
4000
1436
2153
anh ráng đi, năm sau em cx cày nữa lấy luôn tv của năm cho chất
4000
1436
2153
xong tặng a chill 40k luôn =))
13420
1465
10950
nghe ấm lòng ghê chúc e thành công ha
4000
1436
2153
oke 😆✌🐧
13420
1465
10950
: ))