

Giúp tui với
Hãy luôn nhớ cảm ơn và vote 5*
nếu câu trả lời hữu ích nhé!
Đáp án`+`Giải thích các bước giải:
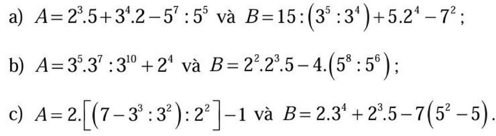
`a)` `A = 2^3 . 5 + 3^4 . 2 - 5^7 : 5^5`
`A = 8 . 5 + 81 . 2 - 5^( 7 - 5 )`
`A = 40 + 162 - 5^2`
`A = 40 + 162 - 25`
`A = 202 - 25`
`A = 177`
`----`
`B = 15 : ( 3^5 : 3^4 ) + 5 . 2^4 - 7^2`
`B = 15 : 3^( 5 - 4 ) + 5 . 16 - 49`
`B = 15 : 3 + 5 . 16 - 49`
`B = 5 + 80 - 49`
`B = 85 - 49`
`B = 36`
________________________________________
`b)` `A = 3^5 . 3^7 : 3^10 + 2^4`
`A = 3^(5 + 7 - 10) + 16`
`A = 3^2 + 16`
`A = 9 + 16`
`A = 25`
`----`
`B = 2^2 . 2^3 . 5 - 4 . ( 5^8 : 5^6 )`
`B = 2^( 2 + 3 ) . 5 - 4 . 5^( 8 - 6 )`
`B = 2^5 . 5 - 4 . 5^2`
`B = 32 . 5 - 4 . 25`
`B = 160 - 100`
`B = 60`
______________________________________
`c)` `A = 2 . [ ( 7 - 3^3 : 3^2 ) : 2^2 ] - 1`
`A = 2 . [ ( 7 - 27 : 9 ) : 4 ] - 1`
`A = 2 . [ ( 7 - 3 ) : 4 ] - 1`
`A = 2 . [ 4 : 4 ] - 1`
`A = 2 . 1 - 1`
`A = 2 - 1`
`A = 1`
`----`
`B = 2 . 3^4 + 2^3 . 5 - 7 ( 5^2 - 5 )`
`B = 2 . 81 + 8 . 5 - 7 ( 25 - 5 )`
`B = 2 . 81 + 8 . 5 - 7 . 20`
`B = 162 + 40 - 140`
`B = 202 - 140`
`B = 62`
Hãy giúp mọi người biết câu trả lời này thế nào?
Bảng tin
368
8957
616
dậy cày đi bạn
2296
30741
2193
đang cày đang cày ko pk lo đâu trg -))
368
8957
616
ok bạn