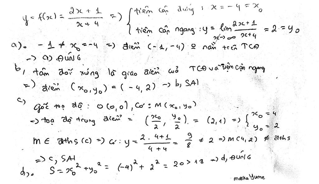
Câu 6. Cho hàm số (C): y= f(x)=
2x+1
x+4
biết đồ thị hàm số có tiện cận đúng và tiện cận
ngang là các dường thẳng x= xy y . Khi đó:
a, Điểm (−1;−4) không nằm trên đường tiện còn đứng xem Xu
b, Tâm đổi xứng của đồ thị hàm số có tọa độ là (2;-4).
c. Gọi điểm M(x;y, ) thị trung điểm của đ ...