

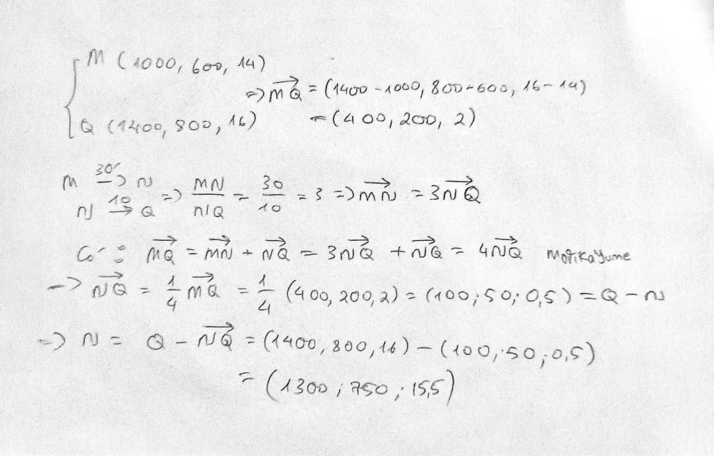
Trong không gian hệ trục toạ độ cho trước, đơn vị đo lấy kilômét, ra đa phát hiện một máy bay chiến đấu của Mỹ di chuyển với tốc độ và hướng không đổi từ điểm M (1000;600;14) đến điểm N trong 30 phút. Nếu máy bay tiếp tục giữ nguyên vận tốc và hướng bay thì toạ độ của máy bay sau 10 phút tiếp theo bằng Q (1400;800;16). Xác định toạ độ vị trí điểm N.
Hãy luôn nhớ cảm ơn và vote 5*
nếu câu trả lời hữu ích nhé!
Đây là câu trả lời đã được xác thực
Câu trả lời được xác thực chứa thông tin chính xác và đáng tin cậy, được xác nhận hoặc trả lời bởi các chuyên gia, giáo viên hàng đầu của chúng tôi.
`+)` Gọi `N(x; y; z)` là tọa độ điểm cần tìm
`+)` Có `M(1000; 600; 14)` và `N(x; y; z)`
`=>` `\vec{MN} = (x - 1000; y - 600; z - 14)`
`+)` Có `M(1000; 600; 14)` và `Q(1400; 800; 16)`
`=>` `\vec{MQ} = (400; 200; 2)`
`+)` Vì đi đoạn MN hết 30 phút và NQ hết 10 phút
`=>` `MN = 3/4 MQ`
`=>` `\vec{MN} = 3/4 \vec{MQ}`
`=>` `\vec{MQ} = 4/3 \vec{MN}`
`=>` `{(400 = 4/3(x - 1000)),(200 = 4/3(y - 600)),(2 = 4/3(z - 14)):}`
`=>` `{(x = 1300),(y = 750),(z = 15,5):}`
`FrozenQueen`
Hãy giúp mọi người biết câu trả lời này thế nào?
Đáp án: Tọa độ điểm `N` là `(1300;750;10,5)`
Giải thích các bước giải:
Hãy giúp mọi người biết câu trả lời này thế nào?
Bảng tin